【药物名称】ZK-805623
化学结构式(Chemical Structure):
参考文献No.30977
标题:Benzamidine derivs. their preparation and their use as anti-coagulants
作者:Buckman, B.O.; Davey, D.D.; Guilford, W.J.; Morrissey, M.M.; Ng, H.P.; Phillips, G.B.; Wu, S.C.; Xu, W. (Berlex Laboratories, Inc.)
来源:EP 0813525; US 5691364; WO 9628427
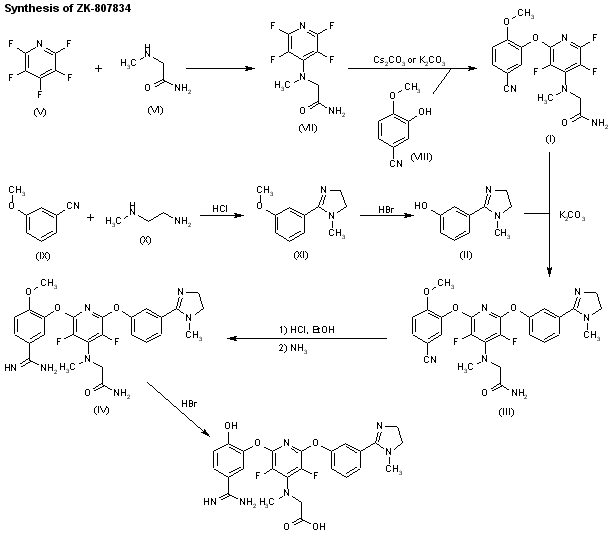
合成路线图解说明:

ZK-807834 is obtained by condensation of the diaryl ether (I) with the phenol (II) by means of K2CO3 to afford the bisaryl ether (III). Reaction of the cyano group of (III), first with HCl in ethanol and then with ammonia, yields the corresponding amidino compound (IV), which is finally demethylated with HBr.

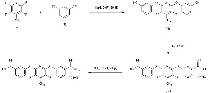
合成路线图解说明:

Coupling of 4-methyl-2,3,5,6-tetrafluoropyridine (I) with two molecules of 3-hydroxybenzonitrile (II) in the presence of NaH in hot DMF produced the 2,6-bis(phenoxy)pyridine (III). Conversion of the nitrile groups of (III) into the target bisamidine was then achieved by formation of the corresponding imidate (IV) with ethanol and HCl, followed by treatment with ethanolic ammonia at 60 C in a sealed tube.

参考文献No.469549
标题:Discovery of N-[2-[5-[amino(imino)methyl]-2-hydroxyphenoxy]-3,5-difluoro-6-[3-(4,5-dihydro-1-methyl-1H-imidazol-2-yl)phenoxy]pyridin-4-yl]-N-methylglycine (ZK-807834): A potent, selective, and orally active inhibitor of the blood coagulation enzyme factor
作者:Phillips, G.B.; Buckman, B.O.; Davey, D.D.; Eagen, K.A.; Guilford, W.J.; Hinchman, J.; Ho, E.; Koovakkat, S.; Liang, A.; Light, D.R.; Mohan, R.; Ng, H.P.; Post, J.M.; Shaw, K.J.; Smith, D.; Subramanyam, B.; Sullivan, M.E.; Trinh, L.; Vergona, R.; et al.
来源:J Med Chem 1998,41(19),3557
合成路线图解说明:

ZK-807834 is obtained by condensation of the diaryl ether (I) with the phenol (II) by means of K2CO3 to afford the bisaryl ether (III). Reaction of the cyano group of (III), first with HCl in ethanol and then with ammonia, yields the corresponding amidino compound (IV), which is finally demethylated with HBr.

合成路线图解说明:

Coupling of 4-methyl-2,3,5,6-tetrafluoropyridine (I) with two molecules of 3-hydroxybenzonitrile (II) in the presence of NaH in hot DMF produced the 2,6-bis(phenoxy)pyridine (III). Conversion of the nitrile groups of (III) into the target bisamidine was then achieved by formation of the corresponding imidate (IV) with ethanol and HCl, followed by treatment with ethanolic ammonia at 60 C in a sealed tube.

参考文献No.538846
标题:Design, synthesis, and activity of 2,6-diphenoxypyridine-derived factor Xa inhibitors
作者:Phillips, G.; Davey, D.D.; Eagen, K.A.; Koovakkat, S.K.; Liang, A.; Ng, H.P.; Pinkerton, M.; Trinh, L.; Whitlow, M.; Beatty, A.M.; Morrissey, M.M.
来源:J Med Chem 1999,42(10),1749
合成路线图解说明:

Coupling of 4-methyl-2,3,5,6-tetrafluoropyridine (I) with two molecules of 3-hydroxybenzonitrile (II) in the presence of NaH in hot DMF produced the 2,6-bis(phenoxy)pyridine (III). Conversion of the nitrile groups of (III) into the target bisamidine was then achieved by formation of the corresponding imidate (IV) with ethanol and HCl, followed by treatment with ethanolic ammonia at 60 C in a sealed tube.

Drug Information Express,Drug R&D,Chemical Database,Patent Search.
Copyright © 2006-2026 Drug Future. All rights reserved.Contact Us