【药物名称】NSC-706995, MS-275, MS-27-275
化学结构式(Chemical Structure):
参考文献No.36591
标题:Benzamide derivs., useful as cell differentiation inducers
作者:Suzuki, T.; Ando, T.; Tsuchiya, K.; Nakanishi, O.; Saito, A.; Yamashita, T.; Shiraishi, Y.; Tanaka, E. (Mitsui Chemicals, Inc.)
来源:EP 0847992
合成路线图解说明:

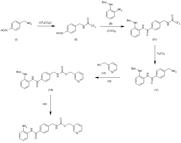
The acylation of 4-(aminomethyl)benzoic acid (I) with trifluoroacetic anhydride gives the corresponding trifluoroacetamide (II), which is condensed with the monoprotected ortho-phenylenediamine (III) by means of oxalyl chloride in dichloromethane/DMF yielding the benzamide (IV). Elimination of the trifluoacetyl group of (V) by means of K2CO3 in methanol/water affords the 4-(aminomethyl)-derivative (V), which is condensed with 3-(hydroxymethyl)pyridine (VI) and carbonyldiimidazole (CDI) in THF providing the Boc-protected intermediate (VII). Finally, this compound is deprotected by a treatment with 4N HCl in dioxane/water.

参考文献No.549563
标题:Synthesis and histone deacetylase inhibitory activity of new benzamide derivatives
作者:Suzuki, T.; Ando, T.; Tsuchiya, K.; Fukazawa, N.; Saito, A.; Mariko, Y.; Yamashita, T.; Nakanishi, O.
来源:J Med Chem 1999,42(15),3001
合成路线图解说明:

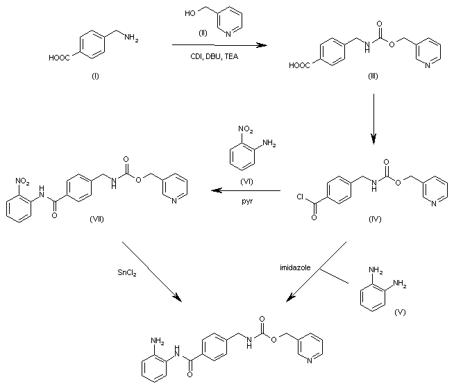
The reaction of 4-(aminomethyl)benzoic acid (I) with 3-pyridinylmethanol (II) and CDI by means of DBU and TEA in THF gives the carbamate (III), which is treated with oxalyl chloride in toluene to yield the corresponding acyl chloride (IV). Finally, the condensation of (IV) with 1,2-phenylenediamine (V) by means of imidazole in THF affords the target compound. Alternatively, the condensation of acyl chloride (IV) with 2-nitroaniline (VI) by means of pyridine gives the corresponding amide (VII), which is finally reduced with SnCl2 and ammonium acetate in methanol.

Drug Information Express,Drug R&D,Chemical Database,Patent Search.
Copyright © 2006-2026 Drug Future. All rights reserved.Contact Us