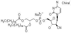
【药物名称】DPP-CNDAC
化学结构式(Chemical Structure):
参考文献No.474340
标题:Nucleosides and nucleotides. 150. Enzymatic synthesis of 5'-phosphatidyl derivatives of 1-(2-C-cyano-2-deoxy-beta-D-arabino-pentofuranosyl)cytosine (CNDAC) and their notable antitumor effects in mice
作者:Shuto, S.; et al.
来源:Bioorg Med Chem Lett 1996,6(9),1021
合成路线图解说明:

By transphosphatidylation between 1-(2-C-cyano-2-deoxy-beta-D-arabinofuranosyl)cytosine (I) and the 3-phosphatidylcholine (II) catalyzed by phospholypase D from Streptomyces sp. AA 586 in a two phase system of choroform and acetate buffer (pH 4.5) at 40 C.

Drug Information Express,Drug R&D,Chemical Database,Patent Search.
Copyright © 2006-2026 Drug Future. All rights reserved.Contact Us