【药物名称】
化学结构式(Chemical Structure):
参考文献No.537118
标题:Novel derivatives of 2-pyridinemethylamine as selective, potent, and orally active agonists at 5-HT1A receptors
作者:Vacher, B.; Bonnaud, B.; Funes, P.; Jubault, N.; Koek, W.; Assie, M.B.; Cosi, C.; Kleven, M.
来源:J Med Chem 1999,42(9),1648
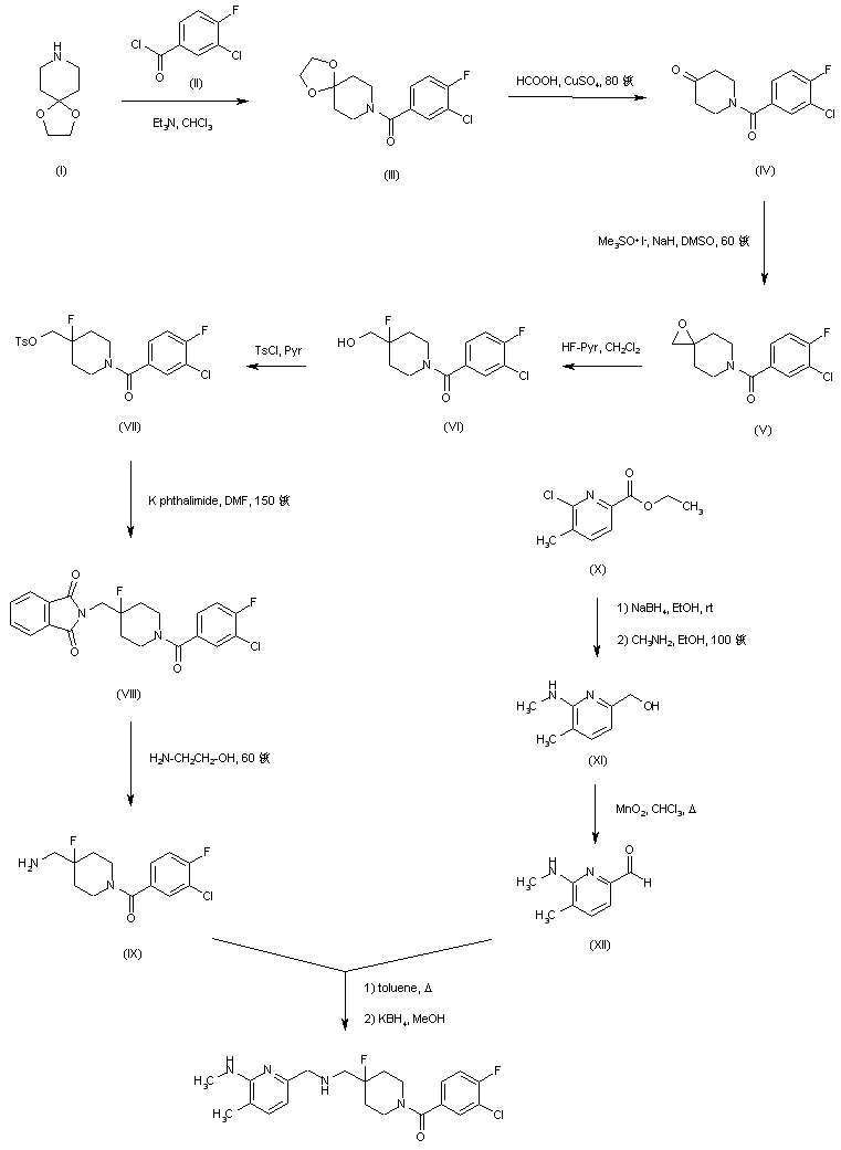
合成路线图解说明:

Acylation of 4-piperidone ethylene ketal (I) with 3-chloro-4-fluorobenzoyl chloride (II) in the presence of Et3N gave amide (III). After ketal hydrolysis of (III) using 80% formic acid and CuSO4, treatment of the resulting N-acyl piperidone (IV) with dimethyloxosulfonium methylide provided epoxide (V). Subsequent ring opening of (V) with HF-pyridine complex afforded the fluoro alcohol (VI), which was converted to tosylate (VII). Then, Gabriel synthesis via the corresponding phthalimide (VIII) produced amine (IX). The pyridine-2-carboxaldehyde (XII) was prepared by reduction of ethyl 6-chloro-5-methylpyridine-2-carboxylate (X) with NaBH4, followed by displacement of the chloro group by ethanolic methylamine in a sealed vessel at 100 C yielding pyridinealcohol (XI), which was further oxidized to the desired aldehyde (XII) using MnO2. The title compound was then obtained by condensation of amine (IX) with aldehyde (XII), followed by reduction of the intermediate imine with KBH4 in MeOH.

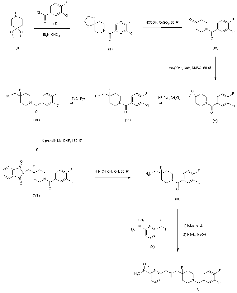
合成路线图解说明:

Acylation of 4-piperidone ethylene ketal (I) with 3-chloro-4-fluorobenzoyl chloride (II) in the presence of Et3N gave amide (III). After ketal hydrolysis of (III) using 80% formic acid and CuSO4, treatment of the resulting N-acyl piperidone (IV) with dimethyloxosulfonium methylide provided epoxide (V). Subsequent ring opening of (V) with HF-pyridine complex afforded the fluoro alcohol (VI), which was converted to tosylate (VII). Then, Gabriel synthesis via the corresponding phthalimide (VIII) produced amine (IX). The title compound was then obtained by condensation of 6-(dimethylamino)pyridine-2-carboxaldehyde (X) with amine (IX), followed by reduction of the intermediate imine with KBH4 in MeOH.

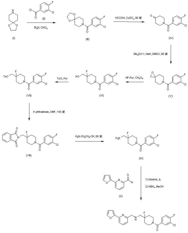
合成路线图解说明:

Acylation of 4-piperidone ethylene ketal (I) with 3-chloro-4-fluorobenzoyl chloride (II) in the presence of Et3N gave amide (III). After ketal hydrolysis of (III) using 80% formic acid and CuSO4, treatment of the resulting N-acyl piperidone (IV) with dimethyloxosulfonium methylide provided epoxide (V). Subsequent ring opening of (V) with HF-pyridine complex afforded the fluoro alcohol (VI), which was converted to tosylate (VII). Then, Gabriel synthesis via the corresponding phthalimide (VIII) produced amine (IX). The title compound was then obtained by condensation of 6-(2-furanyl)pyridine-2-carboxaldehyde (X) with amine (IX), followed by reduction of the intermediate imine with KBH4 in MeOH.

Drug Information Express,Drug R&D,Chemical Database,Patent Search.
Copyright © 2006-2026 Drug Future. All rights reserved.Contact Us