【药物名称】CP-195543
化学结构式(Chemical Structure):
参考文献No.37776
标题:Processes and intermediates for preparing substd. chromanol derivs.
作者:Piscopio, A.D.; Hawkins, J.M.; Caron, S.; Kelly, S.E.; Raggon, J.W.; Ruggeri, S.G.; Castaldi, M.J.; Dugger, R.W. (Pfizer Inc.)
来源:WO 9811085
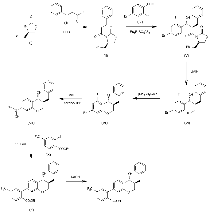
合成路线图解说明:

The reaction of 4(R)-benzyloxazolidin-2-one (I) with 3-phenylpropionyl chloride (II) by means of BuLi in THF gives 4(R)-benzyl-3-(3-phenylpropionyl)oxazolidin-2-one (III), which is condensed with 4-bromo-2-fluorobenzaldehyde (IV) by means of dibutylboron triflate or TiCl4 yielding the chiral intermediate (V). The reductive elimination of the oxazolidinone group affords (1R,2S)-2-benzyl-1-(4-bromo-2-fluorophenyl)propane-1,3-diol (VI), which is cyclized by means of sodium bis(trimethylsilyl)amide in hot DMSO to give the chiral dihydro-1-benzopyran (VII).The reaction of (VII) with the borane-THF complex and methyllithium in THF affords the boronic acid (VIII), which is condensed with 2-iodo-4-(trifluoromethyl)benzoic acid ethyl ester (IX) by means of KF and Pd/C in refluxing ethanol to provide the ethyl ester (X) of the target comopound. Finally, this compound is hydrolyzed with NaOH in refluxing isopropanol.

Drug Information Express,Drug R&D,Chemical Database,Patent Search.
Copyright © 2006-2026 Drug Future. All rights reserved.Contact Us