【药物名称】GYKI-39541, RGH-1962
化学结构式(Chemical Structure):
参考文献No.39542
标题:Novel anticoagulant glycosides and pharmaceutical compsns. thereof
作者:Szeker, G.; Boros, S.; Szab? G.; Turuczn?Ferwagner, M.; Orb醤, O.; Feher, B.; Soukupn?Kedves, R.; Kenyeres, L.; Kov醕sn?Boz? E.; Barab醩, ?; Moravcsik, I.; Kasz醩, E.; Kuszmann, J. (Gedeon Richter Ltd.)
来源:WO 9928312
合成路线图解说明:

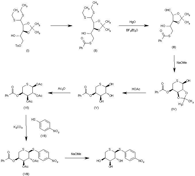
The thiobenzoylation of the readily available 2,3-O-isopropylidene-5-O-tosyl-L-arabinose diethyl dithioacetal (I) gives the 5-S-thiobenzoate (II), which is treated with HgO and BF3/Et2O in THF/water gives the corresponding aldehyde (III). The cyclization of (III) with NaOMe in methanol affords the cyclic arabinopyranose (IV), which is deprotected with AcOH giving 5-O-benzoyl-beta-D-arabinopyranose (V). The acetylation of (V) with Ac2O yields the triacetate (VI), which is condensed with 4-nitrothiophenol (VII) by means of K2CO3 in refluxing acetone affording the acylated dithio-beta-D-arabinopyranoside (VIII). Finally, this compound is deacylated with NaOMe in MeOH.

参考文献No.560627
标题:Synthesis of 4-cyanophenyl and 4-nitrophenyl 1,5-dithio-L- and -D-arabinopyranosides possessing antithrombotic activity
作者:Bozo, E.; Boros, S.; Kuszmann, J.
来源:Carbohydr Res 1998,311(4),191
合成路线图解说明:

The thiobenzoylation of the readily available 2,3-O-isopropylidene-5-O-tosyl-L-arabinose diethyl dithioacetal (I) gives the 5-S-thiobenzoate (II), which is treated with HgO and BF3/Et2O in THF/water gives the corresponding aldehyde (III). The cyclization of (III) with NaOMe in methanol affords the cyclic arabinopyranose (IV), which is deprotected with AcOH giving 5-O-benzoyl-beta-D-arabinopyranose (V). The acetylation of (V) with Ac2O yields the triacetate (VI), which is condensed with 4-nitrothiophenol (VII) by means of K2CO3 in refluxing acetone affording the acylated dithio-beta-D-arabinopyranoside (VIII). Finally, this compound is deacylated with NaOMe in MeOH.

Drug Information Express,Drug R&D,Chemical Database,Patent Search.
Copyright © 2006-2026 Drug Future. All rights reserved.Contact Us