【药物名称】GYKI-39521, RGH-1875
化学结构式(Chemical Structure):
参考文献No.560625
标题:An economic synthesis of 1,2,3,4-tetra-O-acetyl-5-thio-D-xylopyranose and its transformation into 4-substituted-phenyl 1,5-dithio-D-xylopyranosides possessing antithrombotic activity
作者:Bozo, E.; Boros, S.; Kuszmann, J.; Gacs-Baitz, E.; Parkanyi, L.
来源:Carbohydr Res 1998,308(3-4),297
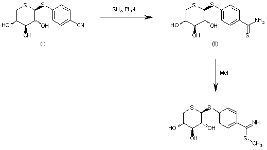
合成路线图解说明:

The reaction of Beciparcil (I) with H2S and triethylamine in pyridine gives the thiobenzamide (II), which is finally methylated with methyl iodide in refluxing acetone.

Drug Information Express,Drug R&D,Chemical Database,Patent Search.
Copyright © 2006-2026 Drug Future. All rights reserved.Contact Us