【药物名称】MLN-519, LDP-519, PS-519
化学结构式(Chemical Structure):
参考文献No.41076
标题:Synthesis of clasto-lactacystin beta-lactone and analogs thereof
作者:Plamondon, L.; Soucy, F.; Behnke, M.; Roush, W.
来源:WO 9909006
合成路线图解说明:

The intermediate (R)-formyl amide (IX) was synthesized as follows. Acylation of the lithium anion of (S)-4-benzyl-2-oxazolidinone (I) with valeryl chloride (II) provided acyl oxazolidinone (III). Subsequent diastereoselective benzyloxymethylation of (III) with chloride (IV) and TiCl4 gave benzyl ether (V). Hydrolysis of (V) with lithium peroxide, followed by coupling of the resulting carboxylic acid (VI) with diethylamine in the presence of TBTU yielded diethylamide (VII). Hydrogenolysis of the benzyl group of (VII) using Pearlman's catalyst afforded alcohol (VIII), which was oxidized to aldehyde (IX) by means of Dess-Martin periodinane or NaOCl in the presence of 2,2,6,6-tetramethyl-1-piperidinyloxy radical (TEMPO) to give (IX).

合成路线图解说明:

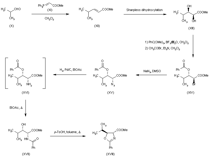
On the other hand, Wittig condensation of isobutyraldehyde (X) with methyl (triphenylphosphoranylidene)acetate (XI) afforded (E)-4-methylpent-2-enoic acid methyl ester (XII). Sharpless catalytic asymmetric dihydroxylation of (XII) gave diol (XIII). Condensation of diol (XIII) with trimethyl orthobenzoate in the presence of BF3.Et2O, followed by treatment of the crude cyclic orthoester with acetyl bromide produced bromo ester (XIV). The required alpha-amino group was then introduced by nucleophilic displacement of the bromide of (XIV) with NaN3 in DMSO, followed by catalytic hydrogenation of the resulting azide (XV). The intermediate amino ester (XVI) was then rearranged to hydroxy amide (XVII) upon refluxing in EtOAc. Cyclization of (XVII) to the required trans oxazoline (XVIII) was then achieved by treatment with p-toluenesulfonic acid in boiling toluene.

合成路线图解说明:

Treatment of the lithium enolate of oxazoline ester (XVIII) with dimethylaluminum chloride, followed by aldol condensation with aldehyde (IX) at -80 C diastereoselectively led to adduct (XIX). Hydrogenolysis of the oxazoline (XIX) with concomitant cyclization of the intermediate aminodiol produced lactam (XX). The methyl ester group of (XX) was then hydrolyzed with NaOH to give hydroxyacid (XXI). This was finally cyclized to the title lactone employing either TBTU or isopropenyl chloroformate in the presence of Et3N.

参考文献No.41077
标题:Proteasome inhibitors, ubiquitin pathway inhibitors or agents that interfere with the activation of NF-kappaB via the ubiquitin proteasome pathway to treat inflammatory and autoimmune diseases
作者:Plamondon, L.; Adams, J.; Elliot, P. (ProScript, Inc.)
来源:WO 9915183
合成路线图解说明:

The intermediate (R)-formyl amide (IX) was synthesized as follows. Acylation of the lithium anion of (S)-4-benzyl-2-oxazolidinone (I) with valeryl chloride (II) provided acyl oxazolidinone (III). Subsequent diastereoselective benzyloxymethylation of (III) with chloride (IV) and TiCl4 gave benzyl ether (V). Hydrolysis of (V) with lithium peroxide, followed by coupling of the resulting carboxylic acid (VI) with diethylamine in the presence of TBTU yielded diethylamide (VII). Hydrogenolysis of the benzyl group of (VII) using Pearlman's catalyst afforded alcohol (VIII), which was oxidized to aldehyde (IX) by means of Dess-Martin periodinane or NaOCl in the presence of 2,2,6,6-tetramethyl-1-piperidinyloxy radical (TEMPO) to give (IX).

合成路线图解说明:

Treatment of the lithium enolate of oxazoline ester (XVIII) with dimethylaluminum chloride, followed by aldol condensation with aldehyde (IX) at -80 C diastereoselectively led to adduct (XIX). Hydrogenolysis of the oxazoline (XIX) with concomitant cyclization of the intermediate aminodiol produced lactam (XX). The methyl ester group of (XX) was then hydrolyzed with NaOH to give hydroxyacid (XXI). This was finally cyclized to the title lactone employing either TBTU or isopropenyl chloroformate in the presence of Et3N.

参考文献No.555309
标题:A novel and efficient synthesis of a highly active analogue clasto-lactacystin beta-lactone
作者:Soucy, F.; et al.
来源:J Am Chem Soc 1999,121(43),9967
合成路线图解说明:

The intermediate (R)-formyl amide (IX) was synthesized as follows. Acylation of the lithium anion of (S)-4-benzyl-2-oxazolidinone (I) with valeryl chloride (II) provided acyl oxazolidinone (III). Subsequent diastereoselective benzyloxymethylation of (III) with chloride (IV) and TiCl4 gave benzyl ether (V). Hydrolysis of (V) with lithium peroxide, followed by coupling of the resulting carboxylic acid (VI) with diethylamine in the presence of TBTU yielded diethylamide (VII). Hydrogenolysis of the benzyl group of (VII) using Pearlman's catalyst afforded alcohol (VIII), which was oxidized to aldehyde (IX) by means of Dess-Martin periodinane or NaOCl in the presence of 2,2,6,6-tetramethyl-1-piperidinyloxy radical (TEMPO) to give (IX).

合成路线图解说明:

On the other hand, Wittig condensation of isobutyraldehyde (X) with methyl (triphenylphosphoranylidene)acetate (XI) afforded (E)-4-methylpent-2-enoic acid methyl ester (XII). Sharpless catalytic asymmetric dihydroxylation of (XII) gave diol (XIII). Condensation of diol (XIII) with trimethyl orthobenzoate in the presence of BF3.Et2O, followed by treatment of the crude cyclic orthoester with acetyl bromide produced bromo ester (XIV). The required alpha-amino group was then introduced by nucleophilic displacement of the bromide of (XIV) with NaN3 in DMSO, followed by catalytic hydrogenation of the resulting azide (XV). The intermediate amino ester (XVI) was then rearranged to hydroxy amide (XVII) upon refluxing in EtOAc. Cyclization of (XVII) to the required trans oxazoline (XVIII) was then achieved by treatment with p-toluenesulfonic acid in boiling toluene.

合成路线图解说明:

Treatment of the lithium enolate of oxazoline ester (XVIII) with dimethylaluminum chloride, followed by aldol condensation with aldehyde (IX) at -80 C diastereoselectively led to adduct (XIX). Hydrogenolysis of the oxazoline (XIX) with concomitant cyclization of the intermediate aminodiol produced lactam (XX). The methyl ester group of (XX) was then hydrolyzed with NaOH to give hydroxyacid (XXI). This was finally cyclized to the title lactone employing either TBTU or isopropenyl chloroformate in the presence of Et3N.

Drug Information Express,Drug R&D,Chemical Database,Patent Search.
Copyright © 2006-2026 Drug Future. All rights reserved.Contact Us