【药物名称】BN-80933
化学结构式(Chemical Structure):
参考文献No.37414
标题:Novel 2-(iminomethyl)amino-phenyl derivs., preparation, application as medicines and pharmaceutical compsns. containing same
作者:Chabrier de Lassauniere, P.-E.; Auguet, M.; Auvin, S.; Bigg, D. (SCRAS (Societ?de Conseils de Recherches et d'Applications Scientifiques))
来源:EP 0973763; WO 9842696
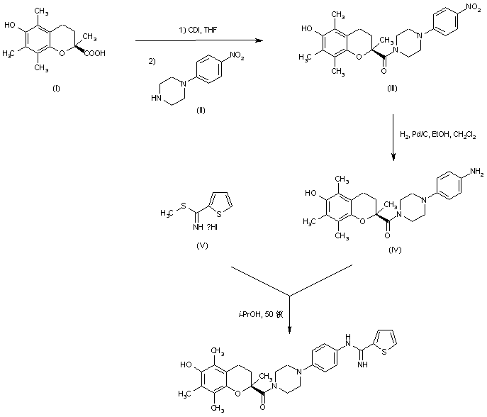
合成路线图解说明:

(S)-6-Hydroxy-2,5,7,8-tetramethylchroman-2-carboxylic acid (I) was coupled to N-(4-nitrophenyl)piperazine (II) via activation with 1,1'-carbonyldiimidazole to furnish the corresponding amide (III). Subsequent hydrogenation of the nitro group of (III) over Pd/C provided aniline (IV). This was finally condensed with S-methyl-2-thiophenethiocarboxamide (V) to yield the title amidine.

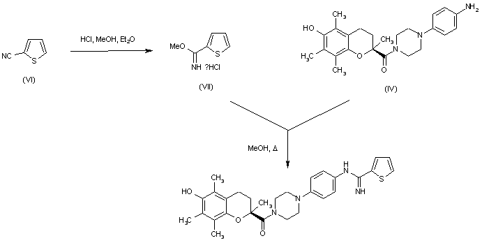
合成路线图解说明:

2-thiophenecarbonitrile (VI) was converted into imidate (VII) and then coupled with aniline (IV) in refluxing MeOH to give the title compound.

Drug Information Express,Drug R&D,Chemical Database,Patent Search.
Copyright © 2006-2026 Drug Future. All rights reserved.Contact Us