【药物名称】EMD-122946
化学结构式(Chemical Structure):
参考文献No.34103
标题:2,1,3-Benzothia(oxa)diazole derivs. having an endothelin receptor antagonistic effect
作者:Dorsch, D.; Osswald, M.; Mederski, W.; Wilm, C.; Schmitges, C.; Christadler, M.; Anzali, S. (Merck Patent GmbH)
来源:DE 19607096; EP 0882030; WO 9730982
合成路线图解说明:

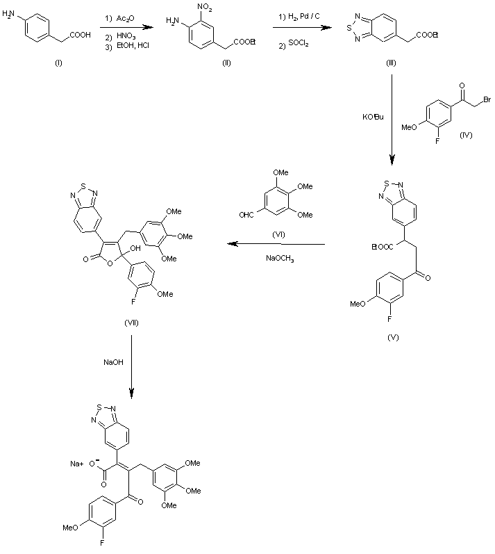
The acetylation of 2-(4-aminophenyl)acetic acid (I) with acetic anhydride, followed by nitration with nitric acid in acetic acid and treatment with HCl in ethanol gives 2-(4-amino-3-nitrophenyl)acetic acid ethyl ester (II), which is reduced at the nitro group, and cyclized with SOCl2 yielding the benzothiadiazole (III). The condensation of (III) with 3-fluoro-4-methoxyphenacyl bromide (IV) by means of potassium tert-butoxide affords the 4-oxobutyrate (V), which is condensed with 3,4,5-trimethoxybenzaldehyde (VI) by means of sodium methopxide in methanol to provide the the dihydrofuranone (VII). Finally, this compound is treated with NaOH in methanol to promote the opening of the lactone ring yielding the target compound.

参考文献No.445634
标题:Endothelin antagonists: Evaluation of 2,1, 3-benzothiadiazole as a methylendioxyphenyl bioisoster
作者:Mederski, W.W.K.R.; Osswald, M.; Dorsch, D.; Anzali, S.; Christadler, M.; Schmitges, C.J.; Wilm, C.
来源:Bioorg Med Chem Lett 1998,8(1),17
合成路线图解说明:

The acetylation of 2-(4-aminophenyl)acetic acid (I) with acetic anhydride, followed by nitration with nitric acid in acetic acid and treatment with HCl in ethanol gives 2-(4-amino-3-nitrophenyl)acetic acid ethyl ester (II), which is reduced at the nitro group, and cyclized with SOCl2 yielding the benzothiadiazole (III). The condensation of (III) with 3-fluoro-4-methoxyphenacyl bromide (IV) by means of potassium tert-butoxide affords the 4-oxobutyrate (V), which is condensed with 3,4,5-trimethoxybenzaldehyde (VI) by means of sodium methopxide in methanol to provide the the dihydrofuranone (VII). Finally, this compound is treated with NaOH in methanol to promote the opening of the lactone ring yielding the target compound.

参考文献No.471901
标题:3. Endothelin antagonists: Discovery of EMD 122946, a highly potent and orally active ETA selective antagonist
作者:Mederski, W.W.K.R.; Dorsch, D.; Osswald, M.; Anzali, S.; Christadler, M.; Schmitges, C.J.; Schelling, P.; Wilm, C.; Fluck, M.
来源:Bioorg Med Chem Lett 1998,8(13),1771
合成路线图解说明:

The acetylation of 2-(4-aminophenyl)acetic acid (I) with acetic anhydride, followed by nitration with nitric acid in acetic acid and treatment with HCl in ethanol gives 2-(4-amino-3-nitrophenyl)acetic acid ethyl ester (II), which is reduced at the nitro group, and cyclized with SOCl2 yielding the benzothiadiazole (III). The condensation of (III) with 3-fluoro-4-methoxyphenacyl bromide (IV) by means of potassium tert-butoxide affords the 4-oxobutyrate (V), which is condensed with 3,4,5-trimethoxybenzaldehyde (VI) by means of sodium methopxide in methanol to provide the the dihydrofuranone (VII). Finally, this compound is treated with NaOH in methanol to promote the opening of the lactone ring yielding the target compound.

Drug Information Express,Drug R&D,Chemical Database,Patent Search.
Copyright © 2006-2026 Drug Future. All rights reserved.Contact Us