【药物名称】
化学结构式(Chemical Structure):
参考文献No.536222
标题:N3-methyl-mafosfamide as a chemically stable, alternative prodrug of mafosfamide
作者:Moon, K.; Kwon, C.
来源:Bioorg Med Chem Lett 1998,8(13),1673
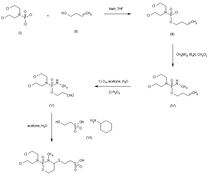
合成路线图解说明:

Condensation of bis(2-chloroethyl)phosphoramidic dichloride (I) with the sodium salt of 3-buten-1-ol (II) gave the O-butenyl phosphoramidate (III), which was subsequently reacted with methylamine to produce the phosphorodiamidate (IV). Ozonization of the double bond of (IV), followed by oxidative workup with H2O2 yielded aldehyde (V). This was finally condensed with 2-mercaptoethanesulfonic acid cyclohexylamine salt (VI) to furnish the title compound.

Drug Information Express,Drug R&D,Chemical Database,Patent Search.
Copyright © 2006-2026 Drug Future. All rights reserved.Contact Us