【药物名称】
化学结构式(Chemical Structure):
参考文献No.536217
标题:Diarylsulfonamides as selective, non-peptidic thrombin inhibitors
作者:Weber, I.R.; Neidlein, R.; von der Saal, W.; Grams, F.; Leinert, H.; Strein, K.; Engh, R.A.; Kucznierz, R.
来源:Bioorg Med Chem Lett 1998,8(13),1613
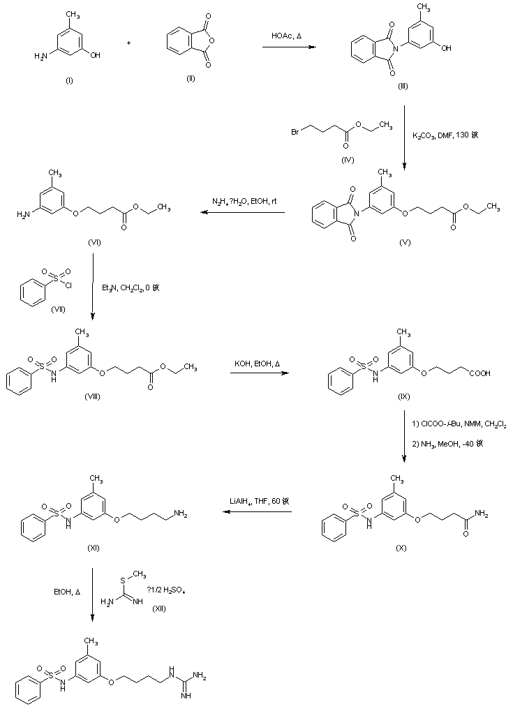
合成路线图解说明:

Protection of 3-amino-5-methylphenol (I) with phthalic anhydride (II) provided the phthalimido derivative (III), which was alkylated with ethyl 4-bromobutyrate (IV) in the presence of K2CO3 to give the corresponding ether (V). Hydrazinolysis of the phthalimido group of (V) afforded the primary amine (VI), which was condensed with benzenesulfonyl chloride (VII), yielding sulfonamide (VIII). Saponification of the ethyl ester of (VIII) gave carboxylic acid (IX). After conversion to the mixed anhydride with isobutyl chloroformate and N-methylmorpholine, treatment with methanolic ammonia furnished amide (X). This was reduced to amine (XI) using LiAlH4 in THF. Finally, reaction of (XI) with S-methylisothiouronium sulfate (XII) in refluxing EtOH provided the target guanidine.

Drug Information Express,Drug R&D,Chemical Database,Patent Search.
Copyright © 2006-2026 Drug Future. All rights reserved.Contact Us