【药物名称】Methylhistaprodifen
化学结构式(Chemical Structure):
参考文献No.570677
标题:Histaprofidens: Synthesis, pharmacological in vitro evaluation, and molecular modeling of a new class of highly active and selective histamine H1-receptor agonists
作者:Elz, S.; Kramer, K.; Pertz, H.H.; Detert, H.; ter Laak, A.M.; K黨ne, RF.; Schunack, W.
来源:J Med Chem 2000,43(6),1071
合成路线图解说明:

3,3-Diphenylpropionic acid (I) was treated with SOCl2 to give acid chloride (II) and then converted to amide (III) using liquid ammonia. Dehydration with P2O5 led to diphenylpropionitrile (IV), which was treated with SOCl2 in methanol to afford the iminoester (V). The condensation of (V) wiith 2-oxobutan-1,4-diol (VI) in liquid ammonia furnished imidazole (VII). Further treatment of (VII) with SOCl2 provided chloride (VIII). Finally, reaction of (VIII) with methylamine in the presence of K2CO3 and a catalytic amount of KI afforded the title compound.

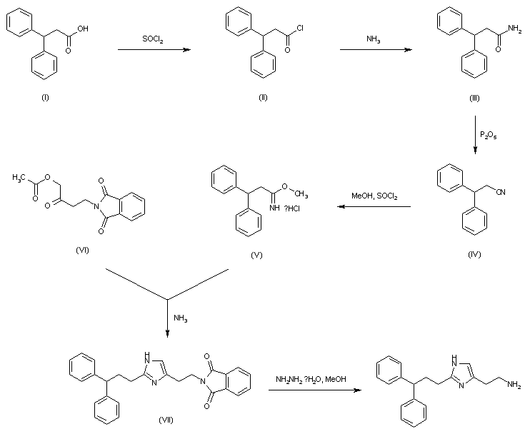
合成路线图解说明:

3,3-Diphenylpropionic acid (I) was treated with SOCl2 to give acid chloride (II) and then converted to amide (III) using liquid ammonia. Dehydration of (III) with P2O5 led to diphenylpropionitrile (IV), which was treated with ammonia in methanol to afford the iminoester (V). The condensation of (V) with 2-oxo-4-phthalimido-1-butyl acetate (VI) in liquid ammonia furnished imidazole (VII). Finally, deprotection of the phthaloyl group of (VII) with methanolic hydrazine afforded the title compound.

Drug Information Express,Drug R&D,Chemical Database,Patent Search.
Copyright © 2006-2026 Drug Future. All rights reserved.Contact Us