【药物名称】KUL-1248
化学结构式(Chemical Structure):
参考文献No.34693
标题:Phenylethanolaminotetralincarboxamide derivs.
作者:Kitazawa, M.; Okazaki, K.; Tamai, T.; Saito, M.; Muranaka, H.; Tanaka, N.; Kobayashi, H.; Kikuchi, K. (Kissei Pharmaceutical Co., Ltd.)
来源:EP 0893432; US 6046192; WO 9738970
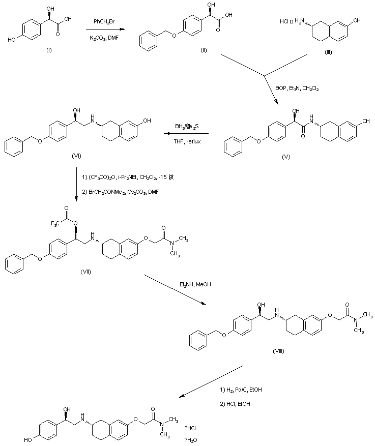
合成路线图解说明:

(R)-4-Hydroxymandelic acid (I) was protected as the benzyl ether (II) by treatment with benzyl bromide and K2CO3. Hydroxy acid (II) was then coupled with (S)-2-amino-7-hydroxytetralin (III) by means of BOP reagent to afford hydroxy amide (IV), which was subsequently reduced to amino alcohol (V) using borane-dimethyl sulfide complex. After protection of the aliphatic alcohol group of (V) with trifluoroacetic anhydride, the phenolic hydroxyl was alkylated with 2-bromo-N,N-dimethylacetamide in the presence of Cs2CO3 to furnish adduct (VII). Further deprotection of the trifluoroacetate ester of (VII) employing diethylamine yielded alcohol (VIII). Finally, hydrogenolysis of the benzyl ether (VIII) over Pd/C provided the title compound, which was isolated as the hydrochloride salt.

Drug Information Express,Drug R&D,Chemical Database,Patent Search.
Copyright © 2006-2026 Drug Future. All rights reserved.Contact Us