【药物名称】Donitriptan hydrochloride, F-11356
化学结构式(Chemical Structure):
参考文献No.27314
标题:Indole-derived azylpiperazines as ligands for 5HT1-like receptors 5HT1B and 5HT1D
作者:Halazy, S.; Perez, M.; Briley, M.; Pauwels, P. (Pierre Fabre M閐icament)
来源:EP 0729455; FR 2712591; JP 1997505072; US 5726177; WO 9514004
合成路线图解说明:

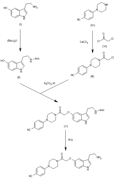
The protection of the 3-(2-aminoethyl)-1H-indol-5-ol (I) with di-tert-butyl dicarbonate gives the corresponding carbamate (II), which is condensed with the chloroacetyl piperazine (III) (obtained by reaction of 4-(1-piperazinyl) benzonitrile (IV) with chloroacetyl chloride (V) by means of CaCO3) using K2CO3 and KI in refluxing 2-butanone to yield the protected target compound (V). Finally, this compound is deprotected with TFA in toluene.

参考文献No.35309
标题:Methanesulphonate salt of an arylpiperazine derived from tryptamine and its solvates for pharmaceutical use
作者:Halazy, S.; Perez, M. (Pierre Fabre M閐icament)
来源:EP 0923549; WO 9748680
合成路线图解说明:

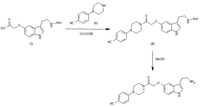
The condensation of 2-[3-(2-aminoethyl)-1H-indol-5-yloxy]acetic acid (I) with 4-(1-piperazinyl)benzonitrile (II) by means of ethyl chloroformate in dichloromethane gives the protected target compound (III), which is finally deprotected with methanesulfonic acid in dichloromethane.

参考文献No.537284
标题:F-11356
作者:Perez, M.; John, G.W.; Colpaert, F.C.; Pauwels, P.J.; Halazy, S.
来源:Drugs Fut 1999,24(6),605
合成路线图解说明:

F-11356 is easily synthesized from serotonin following two synthetic pathways. The first method involves the preparation of 2-[3-[2-[N-(tert-butoxycarbonyl)amino]ethyl]-1H-indol-5-yloxy]acetic acid, which is obtained by protection of serotonin with BOC2O/NaOH, followed by O-alkylation with methyl bromoacetate and saponification of the methyl ester with KOH. The overall yield for the three steps was 81%. A coupling reaction between this acid and a phenyl piperazine derivative afforded the N-BOC-protected desired products which, upon subsequent treatment with trifluoroacetic anhydride, gave the free amines. In the second method, the phenylpiperazine derivatives were first treated with chloroacetylchloride and then the intermediates were allowed to react with N-BOC-serotonin to give the N-BOC-protected desired products. At this stage, and before the final deprotection, the R group can be modified to afford other analogues.

Drug Information Express,Drug R&D,Chemical Database,Patent Search.
Copyright © 2006-2026 Drug Future. All rights reserved.Contact Us