【药物名称】CCT-62
化学结构式(Chemical Structure):
参考文献No.480040
标题:alpha-Methylidene-gamma-butyrolactones: Synthesis and evaluation of quinolin-2(1H)-one derivatives
作者:Wang, T.-C.; et al.
来源:Helv Chim Acta 1998,81(6),1038
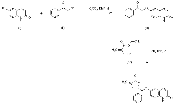
合成路线图解说明:

6-Hydroxyquinolin-2-one (I) was O-alkylated with 2-bromoacetophenone (II) by means of K2CO3 to give the phenacyl ether (III). Then, a Reformatsky-type condensation of (III) with ethyl 2-(bromomethyl)acrylate (IV) and Zn, with concomitant cyclization, yielded the target methylenebutyrolactone.

Drug Information Express,Drug R&D,Chemical Database,Patent Search.
Copyright © 2006-2026 Drug Future. All rights reserved.Contact Us