【药物名称】AH-9700
化学结构式(Chemical Structure):
参考文献No.31374
标题:1-[omega-(3,4-Dihydro-2-naphthalenyl)alkyl]cyclic amine derivs., process for producing the same, and medicinal compsn. containing the same
作者:Kai, N.; Kanehira, A.; Morie, T.; Hino, K.; Kawashima, K.; Shimizu, I.; Akiyama, K. (Dainippon Pharmaceutical Co., Ltd.)
来源:EP 0825180; US 5847159; WO 9633169
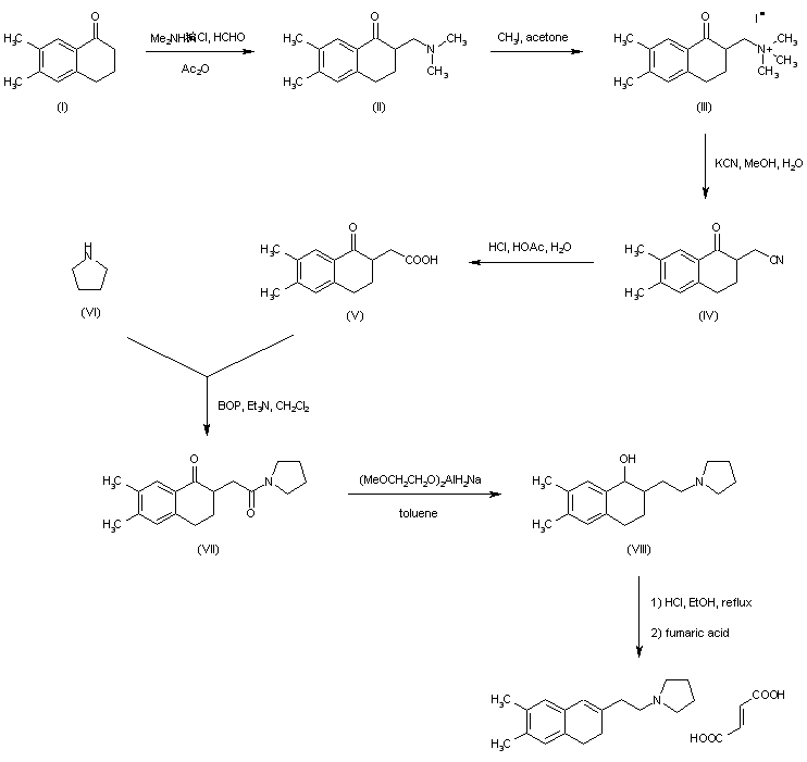
合成路线图解说明:

Mannich reaction of 6,7-dimethyltetralone (I) with dimethylamine and formaldehyde provided amino ketone (II). Subsequent quaternization of (II) with MeI in acetone gave ammonium salt (III), that was further displaced by KCN yielding nitrile (IV). Acidic hydrolysis of the cyano group of (IV) produced carboxylic acid (V). This was then coupled with pyrrolidine (VI) employing BOP reagent to furnish amide (VII). Reduction of the ketone and amide functions of (VII) by means of vitride?in toluene afforded amino alcohol (VIII). After alcohol (VIII) dehydration with ethanolic HCl, the title compound was isolated as the fumarate salt.

Drug Information Express,Drug R&D,Chemical Database,Patent Search.
Copyright © 2006-2026 Drug Future. All rights reserved.Contact Us