【药物名称】Y-700
化学结构式(Chemical Structure):
参考文献No.36483
标题:1-Phenylpyrazole cpds. and medicinal application thereof
作者:Ishibuchi, S.; Morimoto, H.; Inoue, H.; Naka, Y.; Fukunari, A. (Welfide Corporation)
来源:EP 0936217; US 6015829; WO 9818765
合成路线图解说明:

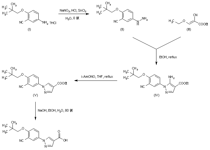
2-Cyano-3-neopentyloxyaniline (I) was diazotized with NaNO2/HCl and then reduced with SnCl2 to give hydrazine (II). The required pyrazole system (IV) was then obtained by condensation of hydrazine (II) with ethyl 2-cyano-3-ethoxyacrylate (III). Deamination of (IV) was achieved by diazotization of the amino group by means of isoamyl nitrite, with concomitant decomposition of the diazonium salt in refluxing THF to yield (V). Finally, saponification of the ethyl ester group of (V) provided the title carboxylic acid.

参考文献No.615993
标题:Synthesis and structure-activity relationships of 1-phenylpyrazoles as xanthine oxidase inhibitors
作者:Ishibuchi, S.; Morimoto, H.; Oe, T.; Ikebe, T.; Inoue, H.; Fukunari, A.; Kamezawa, M.; Yamada, I.; Naka, Y.
来源:Bioorg Med Chem Lett 2001,11(7),879
合成路线图解说明:

2-Cyano-3-neopentyloxyaniline (I) was diazotized with NaNO2/HCl and then reduced with SnCl2 to give hydrazine (II). The required pyrazole system (IV) was then obtained by condensation of hydrazine (II) with ethyl 2-cyano-3-ethoxyacrylate (III). Deamination of (IV) was achieved by diazotization of the amino group by means of isoamyl nitrite, with concomitant decomposition of the diazonium salt in refluxing THF to yield (V). Finally, saponification of the ethyl ester group of (V) provided the title carboxylic acid.

Drug Information Express,Drug R&D,Chemical Database,Patent Search.
Copyright © 2006-2026 Drug Future. All rights reserved.Contact Us