【药物名称】
化学结构式(Chemical Structure):
参考文献No.536225
标题:Structure-based design, synthesis, and biological evaluation of irreversible human rhinovirus 3C protease inhibitors. 2. Peptide structure-activity studies
作者:Dragovich, P.S.; Webber, S.E.; Babine, R.E.; Fuhrman, S.A.; Patick, A.K.; Matthews, D.A.; Reich, S.H.; Marakovits, J.T.; Prins, T.J.; Zhou, R.; Tikhe, J.; Littlefield, E.S.; Bleckman, T.M.; Wallace, M.B.; Little, T.L.; Ford, C.E.; et al.
来源:J Med Chem 1998,41(15),2819
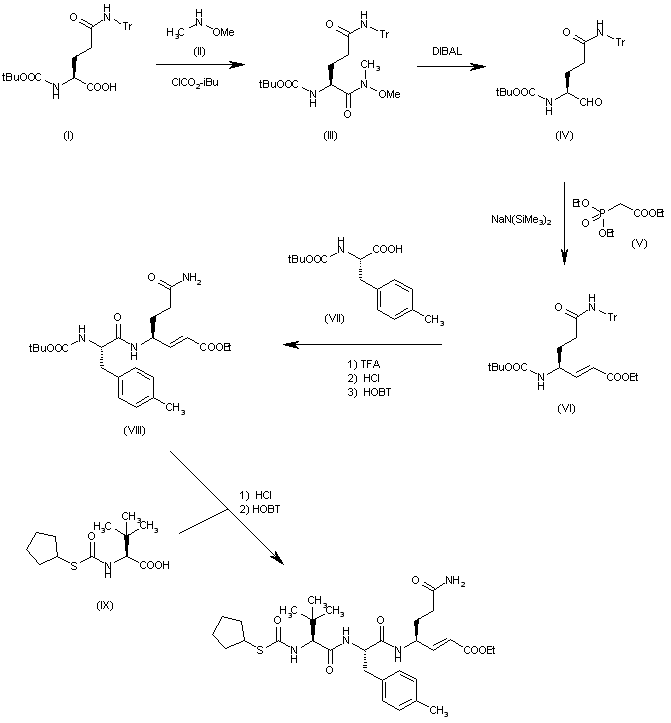
合成路线图解说明:

The reaction of the protected L-glutamine (I) with N,O-dimethylhydroxylamine (II) by means of isobutyl chloroformate and NMM in dichloromethane gives the methoxyamide (III), which is reduced with DIBAL in THF yielding the glutaminal (IV). The condensation of (IV) with phosphonate (V) by means of NaN(SiMe3)2 in THF affords the carbamoylhexenoate (VI), which is deprotected with TFA and HCl and condensed with N-(tert-butoxycabonyl)-4-methyl-L-phenylalanine (VII) by means of HOBT, NMM and EDC in dichloromethane to give the dipeptide (VIII), which is finally deprotected with HCl and condensed with N-(cyclopentylsulfanylcarbonyl)-L-tert-leucine (IX) by means of HOBT as before.

Drug Information Express,Drug R&D,Chemical Database,Patent Search.
Copyright © 2006-2026 Drug Future. All rights reserved.Contact Us