【药物名称】
化学结构式(Chemical Structure):
参考文献No.536226
标题:Structure-based design, synthesis, and biological evaluation of irreversible human rhinovirus 3C protease inhibitors. 1. Michael acceptor structure-activity studies
作者:Dragovich, P.S.; Webber, S.E.; Babine, R.E.; Fuhrman, S.A.; Patick, A.K.; Matthews, D.A.; Lee, C.A.; Reich, S.H.; Prins, T.J.; Marakovits, J.T.; Littlefield, E.S.; Zhou, R.; Tikhe, J.; Ford, C.E.; Wallace, M.B.; Meador, J.W. III; Ferre, R.A.; et al.
来源:J Med Chem 1998,41(15),2806
合成路线图解说明:

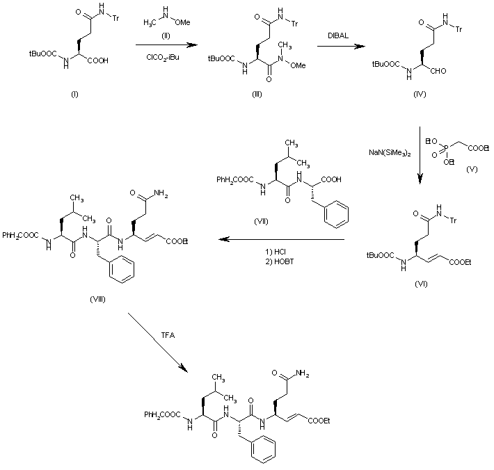
The condensation of the protected L-glutamine (I) with N,O-dimethylhydroxylamine (II) by means of isobutyl chloroformate and NMM in dichloromethane gives the methoxyamide (III), which is reduced with DIBAL in THF to the aldehyde (IV). The condensation of (IV) with phosphonate (V) by means of NaN(SiMe3)2 in THF yields the carbamoylhexenoate (VI), which is selectively deprotected with HCl in dioxane and condensed with the dipeptide (VII) by means of HOBT, NMM and EDC in dichloromethane to afford the tritylated target compound (VIII). Finally, the trityl group of (VIII) is eliminated with TFA and Et3SiH in dichloromethane.

Drug Information Express,Drug R&D,Chemical Database,Patent Search.
Copyright © 2006-2026 Drug Future. All rights reserved.Contact Us