【药物名称】(S)-LG-120746, LG-120746-(S)
化学结构式(Chemical Structure):
参考文献No.478594
标题:Preparation, resolution, and biological evaluation of 5-aryl-1,2-dihydro-5H-chromeno[3,4-f]quinolines: Potent, orally active, nonsteroidal progesterone receptor agonists
作者:Edwards, J.P.; Zhi, L.; Pooley, C.L.F.; Tegley, C.M.; West, S.J.; Wang, M.-W.; Gottardis, M.M.; Pathirana, C.; Schrader, W.T.; Jones, T.K.
来源:J Med Chem 1998,41(15),2779
合成路线图解说明:

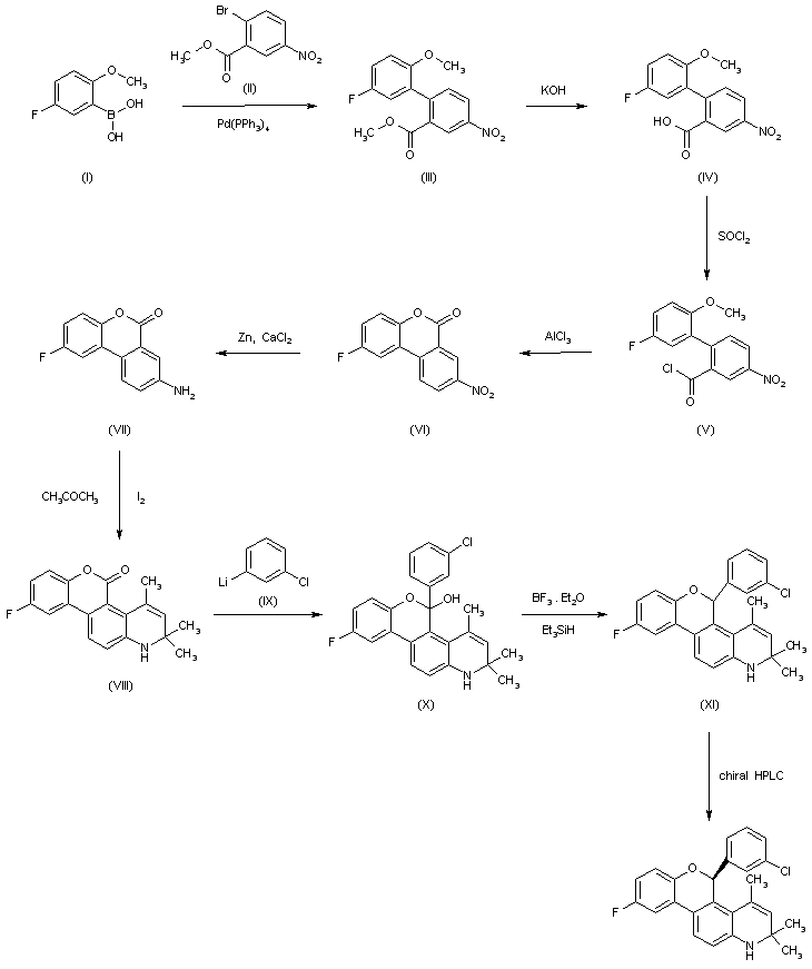
The condensation of phenylboronic acid (I) with methyl 2-bromo-5-nitrobenzoate (II) by means of palladium tetrakis(triphenylphosphine) gives the biphenyl-2-carboxylic ester (III), which is treated with KOH in ethanol/THF to afford the corresponding free acid (IV). The reaction of (IV) with SOCl2 yields the acyl chloridde (V), which is cyclized by means of AlCl3 to provide the dibenzopyranone (VI). The reduction of the nitro group of (VI) with Zn and CaCl2 in refluxing ethanol gives the corresponding amino derivative (VII), which is cyclized with acetone and I2 at 125-35 C yielding the tetracyclic ketone (VIII). The reaction of (VIII) with 3-chlorophenyllithium (IX) in THF affords the tetracyclic hemiketal (X), which is dehydroxylated with boron trifluoride ethearate and triethylsilane in dichloromethane to give the target compound as a racemic mixture (XI). Finally, this racemate is optically resolved by chiral HPLC over a Whelk-O column.

Drug Information Express,Drug R&D,Chemical Database,Patent Search.
Copyright © 2006-2026 Drug Future. All rights reserved.Contact Us