【药物名称】RFI-641(free acid), CL-387626
化学结构式(Chemical Structure):
参考文献No.572014
标题:Inhibition of respiratory syncytial virus by a new class of chemotherapeutic agents
作者:Aulabaugh, A.; et al.
来源:Drugs Fut 2000,25(3),287
合成路线图解说明:

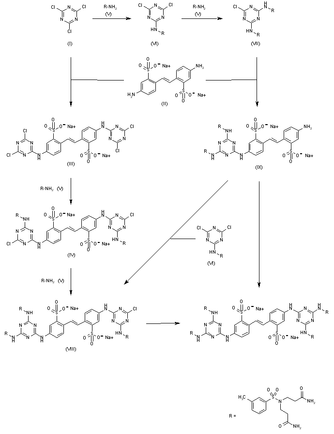
As shown in Scheme 26628603a, both pathways are based on the stepwise replacement of the chlorine atoms in cyanuric chloride (I) with amines under increasingly harsher conditions. For example, the first chlorine atom was exchanged quite easily with the appropriate amine at 0 C for a few minutes. Exchange of the second chlorine required a reaction temperature of about 50 C for 3 h. Displacement of the third chlorine required still more drastic conditions with temperatures between 100-120 C and for 20-40 h. The stepwise condensation of the diaminobiphenyldisulfonate (II) corresponding to the central core of the inhibitor, with 2 moles of cyanuric chloride yielded the tetrachloro intermediate (III). The latter was transformed to the dichloro derivatives (IV) with the appropriate amine and then to the target compound by adding addition al amine to fill out the periphery of the molecule. These stepwise procedures were carried out in organic-aqueous media at neutral pH. For the alternative pathway, reaction of cyanuric chloride with an amine (VI) at 0 C and then the same amine (VI) at 50 C gave the uncharged synthon (VII). Condensation of the substituted monochlorotriazine (VII) with the aminobiphonyldisulfonate (II) at 100-120 C in dry organic media and in the presence of an amine provided the target compound. The reaction of substituted chlorotriazinea with amines at intermediate stages could be stopped to isolate compounds (VIII) or (IX). These were then used for the synthesis of RSV fusion inhibitors with specific functional groups such as those suitable for photoaffinity and radio labeling experiments. Biotinylated derivatives with spacers or linkers were also prepared from these intermediates for use in surface plasmon resonance studies.

合成路线图解说明:

As shown in Scheme 26628701a, both pathways are based on the stepwise replacement of the chlorine atoms in cyanuric chloride (I) with amines under increasingly harsher conditions. For example, the first chlorine atom was exchanged quite easily with the appropriate amine at 0 C for a few minutes. Exchange of the second chlorine required a reaction temperature of about 50 C for 3 h. Displacement of the third chlorine required still more drastic conditions with temperatures between 100-120 C and for 20-40 h. The stepwise condensation of the diaminobiphenyldisulfonate (II) corresponding to the central core of the inhibitor, with 2 moles of cyanuric chloride yielded the tetrachloro intermediate (III). The latter was transformed to the dichloro derivatives (IV) with the appropriate amine and then to the target compound by adding addition al amine to fill out the periphery of the molecule. These stepwise procedures were carried out in organic-aqueous media at neutral pH. For the alternative pathway, reaction of cyanuric chloride with an amine (VI) at 0 C and then the same amine (VI) at 50 C gave the uncharged synthon (VII). Condensation of the substituted monochlorotriazine (VII) with the aminobiphonyldisulfonate (II) at 100-120 C in dry organic media and in the presence of an amine provided the target compound. The reaction of substituted chlorotriazinea with amines at intermediate stages could be stopped to isolate compounds (VIII) or (IX). These were then used for the synthesis of RSV fusion inhibitors with specific functional groups such as those suitable for photoaffinity and radio labeling experiments. Biotinylated derivatives with spacers or linkers were also prepared from these intermediates for use in surface plasmon resonance studies.

Drug Information Express,Drug R&D,Chemical Database,Patent Search.
Copyright © 2006-2026 Drug Future. All rights reserved.Contact Us