【药物名称】AU-130
化学结构式(Chemical Structure):
参考文献No.18930
标题:Benzamide deriv.
作者:Ito, Y.; Kato, H.; Yasuda, S.; Iwasaki, N.; Nishino, H.; Takeshita, M. (Hokuriku Seiyaku Co., Ltd.)
来源:EP 0640601; US 5395832; US 5500422; WO 9214705
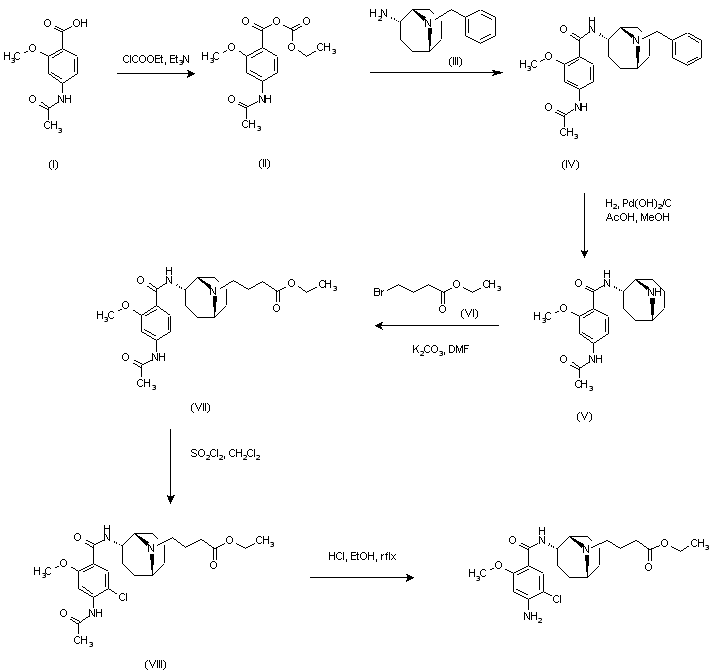
合成路线图解说明:

4-Acetylamino-2-methoxybenzoic acid (I) was treated with ethyl chloroformate and triethylamine in cold THF, and the intermediate mixed anhydride (II) was then condensed with endo-9-benzyl-9-azabicyclo [3.3.1]nonan-3-amine (III) to yield amide (IV). Hydrogenolysis of the benzyl group in the presence of Pearlman's catalyst provided secondary amine (V), which was alkylated with ethyl 4-bromobutyrate (VI) to give (VII). Aromatic chlorination with sulfuryl chloride at position 5 afforded (VIII) and, then, selective acetamide hydrolysis with 20% HCl in refluxing ethanol gave the target compound.

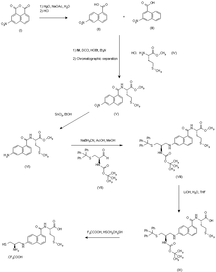
合成路线图解说明:

Treatment of 3-nitro-1,8-naphthalic anhydride (I) with mercuric oxide and aqueous sodium acetate, and then with refluxing concentrated HCl provided a mixture of decarboxylation products (II) and (III). Condensation of this mixture with L-methionine methyl ester (IV) in the presence of dicyclohexylcarbodiimide and 1-hydroxybenzotriazole, followed by chromatographic separation of isomers, yielded the desired 6-nitronaphthalenecarboxamide (V). Further reduction of the nitro group with SnCl2 in ethanol gave amine (VI), which was reductively condensed with S-triphenylmethyl-N-Boc-cysteinal (VII) in the presence of sodium cyanoborohydride, acetic acid, and molecular sieves to afford (VIII). Then, hydrolysis of methyl ester with lithium hydroxide in THF-water gave acid (IX), and finally, deprotection of trityl and tert-butoxycarbonyl groups with an excess of trifluoroacetic acid in the presence of ethanedithiol provided the title compound as the trifluoroacetate salt.

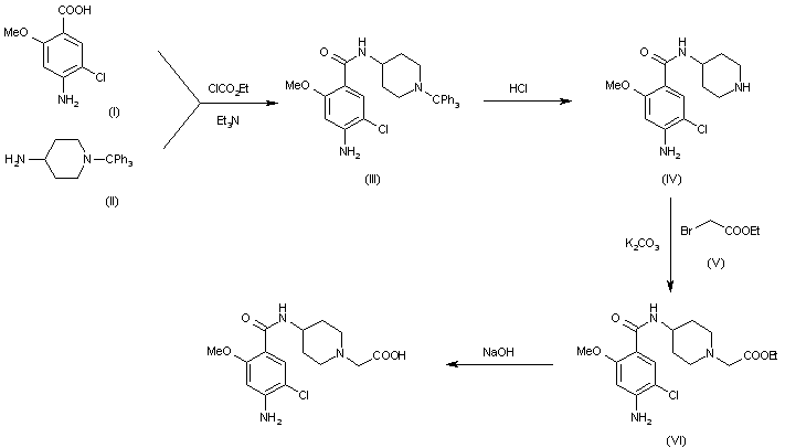
合成路线图解说明:

The condensation of 4-amino-5-chloro-2-methoxybenzoic acid (I) with 4-amino-1-(triphenylmethyl)piperidine (II) by means of ethyl chloroformate and triethylamine in THF gives the corresponding amide (III), which is deprotected with HCl in actone yielding 4-amino-5-chloro-2-methoxy-N-(4-piperidyl)benzamide (IV). The condensation of (IV) with ethyl bromoacetate (V) by means of K2CO3 in DMF affords the substituted acetate (VI), which is finally saponified with NaOH in methanol.

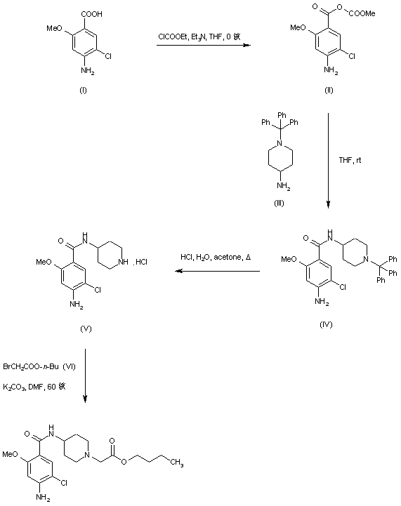
合成路线图解说明:

4-Amino-5-chloro-2-methoxybenzoic acid (I) was converted to the mixed anhydride (II) upon treatment with ethyl chloroformate and Et3N. Subsequent coupling of (II) with 4-amino-1-tritylpiperidine (III) afforded amide (IV). The trityl group of (IV) was then removed by acidic treatment to give piperidine (V). Finally, alkylation of (V) with butyl bromoacetate (VI) furnished the title compound.

Drug Information Express,Drug R&D,Chemical Database,Patent Search.
Copyright © 2006-2026 Drug Future. All rights reserved.Contact Us