【药物名称】MEN-11467
化学结构式(Chemical Structure):
参考文献No.37525
标题:Pseudo-peptide cpds. as antagonists of neurokinines
作者:Potier, E.; Fincham, C.; Sisto, A.; Terracciano, R. (Menarini Industrie Farma Riunite srl)
来源:WO 9845262
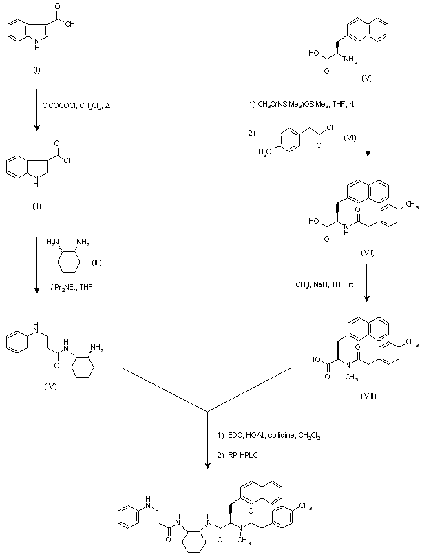
合成路线图解说明:

3-Indolylcarboxylic acid (I) was converted to acid chloride (II) with oxalyl chloride in refluxing CH2Cl2, and subsequently condensed with cis 1,2-cyclohexanediamine (III) to provide racemic amide (IV). Coupling of (4-methylphenyl)acetyl chloride (VI) with D-3-(2-naphthyl)alanine (V) was carried out via previous silylation of the amino acid with bis(trimethylsilyl)acetamide in THF. The resulting amide (VII) was N-alkylated with ICH3 in the presence of NaH to provide (VIII). Then, the chiral acyl amino acid (VIII) was coupled to racemic amine (IV) using 1-ethyl-3-(3-dimethylaminopropyl)- carbodiimide-HCl (EDC) and 7-aza-1-hydroxybenzotriazole (HOAt) to furnish the corresponding amide as a diastereomeric mixture, from which the desired isomer was isolated by reverse phase chromatography.

Drug Information Express,Drug R&D,Chemical Database,Patent Search.
Copyright © 2006-2026 Drug Future. All rights reserved.Contact Us