【药物名称】UR-7247
化学结构式(Chemical Structure):
参考文献No.29377
标题:New pyrazole derivs. as angiotensin II antagonists
作者:Almansa, C.; Gonzales, C.; Torres, M.C.; Carceller, E.; Bartroli, J. (J. Uriach & C韆., SA)
来源:EP 0721454; ES 2105939; JP 1997504804; WO 9604273
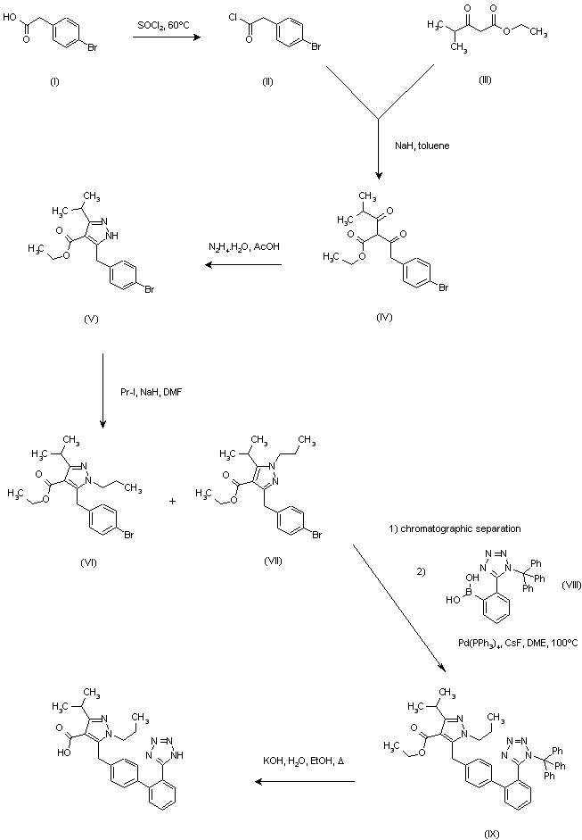
合成路线图解说明:

Acid chloride (II) (prepared from 4-bromophenylacetic acid (I) and SOCl2), was condensed with ethyl isobutyrylacetate (III) in the presence of NaH in toluene to yield diketoester (IV). Further reaction of (IV) with hydrazine monohydrate in AcOH gave pyrazole (V). The subsequent N-alkylation of (V) with propyl iodide and NaH provided a 3:1 mixture of regioisomers (VI) and (VII), which were separated by silica gel chromatography. The major isomer (VI) was coupled with arylboronic acid (VIII) in the presence of CsF and Pd(PPh3)4 to provide biphenyl compound (IX). The title compound was then obtained by simultaneous cleavage of the ethyl ester and the N-trityl group on heating with hydroethanolic KOH.

Drug Information Express,Drug R&D,Chemical Database,Patent Search.
Copyright © 2006-2026 Drug Future. All rights reserved.Contact Us