【药物名称】SB-247464
化学结构式(Chemical Structure):
参考文献No.35083
标题:Non-peptide G-CSF mimetics
作者:Luengo, J.I.; Chan, J.A.; Breen, A.L. (SmithKline Beecham plc)
来源:EP 0920314; WO 9744033
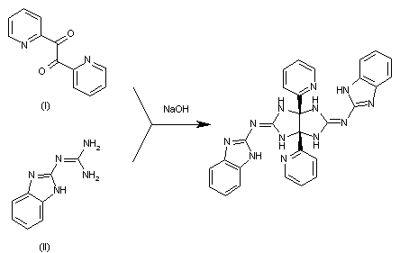
合成路线图解说明:

By cyclization of 1,2-bis(2-pyridyl)ethanedione (I) with N-(1H-benzimidazol-2-yl)guanidine (II) by means of NaOH in methanol.

Drug Information Express,Drug R&D,Chemical Database,Patent Search.
Copyright © 2006-2026 Drug Future. All rights reserved.Contact Us