【药物名称】ALX-0646(free base), ALX-646CL
化学结构式(Chemical Structure):
参考文献No.36795
标题:5-Cyclo indole cpds. as 5-HT1D receptor ligands
作者:Slassi, A.; Edwards, L.; Meng, Q.; Rakhit, S. (NPS Allelix Corp.)
来源:EP 0944595; JP 2001504501; WO 9823587
合成路线图解说明:

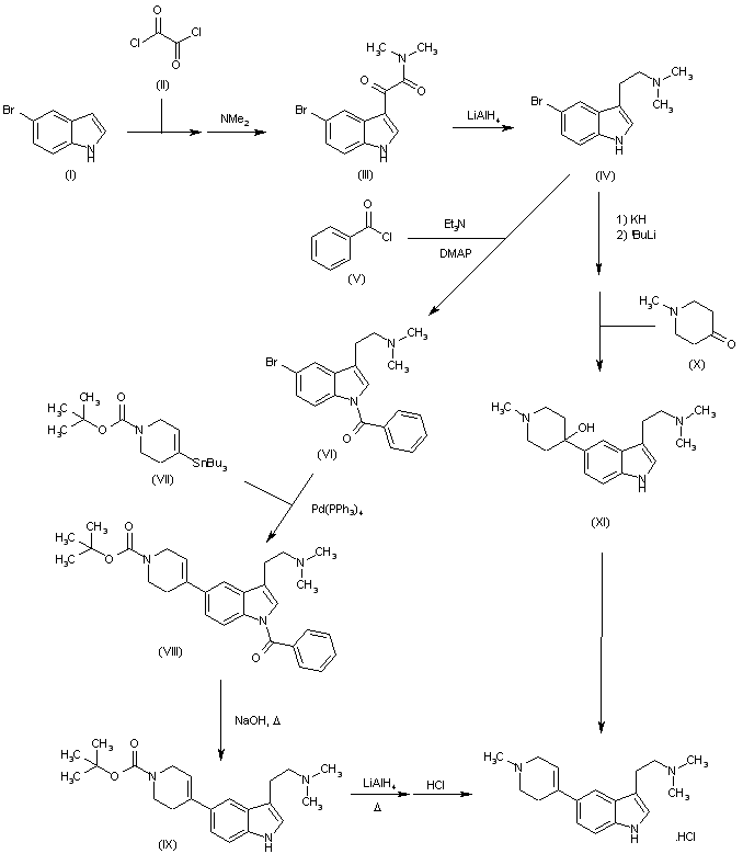
Condensation between 5-bromoindole (I) in ether and oxalyl chloride (II) in dichloromethane followed by treatment with dimethylamine provides N,N-dimethyaminoglyoxyl derivative (III), which is then reduced with LiAlH4 in THF to yield compound (IV). Coupling of (IV) with benzoyl chloride (V) by means of Et3N and DMAP in dichloromethane affords benzoylindole derivative (VI), which is then subjected to reaction with tributylstannyl derivative (VII) in toluene in the presence of Pd(PPh3)4 to furnish compound (VIII). Treatment of (VIII) with NaOH in refluxing MeOH gives indole (IX), which is converted into the final product by reduction with LiAlH4 in refluxing THF) and treatment with HCl for the formation of the corresponding hydrochloride salt. Alternatively, the target compound can be obtained as follows: treatment of (IV) with KH in ether and tert-butyllithium in pentane followed by reaction with N-methylpiperidinone (X) affords hydroxy derivative (XI), which is finally converted into the desired product.

参考文献No.41376
标题:5-Cyclo indole cpds.
作者:Rakhit, S.; Edwards, L.; Slassi, A.; Meng, Q. (NPS Allelix Corp.)
来源:US 5998438
合成路线图解说明:

Condensation between 5-bromoindole (I) in ether and oxalyl chloride (II) in dichloromethane followed by treatment with dimethylamine provides N,N-dimethyaminoglyoxyl derivative (III), which is then reduced with LiAlH4 in THF to yield compound (IV). Coupling of (IV) with benzoyl chloride (V) by means of Et3N and DMAP in dichloromethane affords benzoylindole derivative (VI), which is then subjected to reaction with tributylstannyl derivative (VII) in toluene in the presence of Pd(PPh3)4 to furnish compound (VIII). Treatment of (VIII) with NaOH in refluxing MeOH gives indole (IX), which is converted into the final product by reduction with LiAlH4 in refluxing THF) and treatment with HCl for the formation of the corresponding hydrochloride salt. Alternatively, the target compound can be obtained as follows: treatment of (IV) with KH in ether and tert-butyllithium in pentane followed by reaction with N-methylpiperidinone (X) affords hydroxy derivative (XI), which is finally converted into the desired product.

参考文献No.601108
标题:5-Bicyclopiperidinetryptamine derivatives as selective 5-HT1D agonists
作者:Arora, J.; et al.
来源:Soc Neurosci Abst 2000,26(Part 1),Abst 145.14
合成路线图解说明:

Condensation between 5-bromoindole (I) in ether and oxalyl chloride (II) in dichloromethane followed by treatment with dimethylamine provides N,N-dimethyaminoglyoxyl derivative (III), which is then reduced with LiAlH4 in THF to yield compound (IV). Coupling of (IV) with benzoyl chloride (V) by means of Et3N and DMAP in dichloromethane affords benzoylindole derivative (VI), which is then subjected to reaction with tributylstannyl derivative (VII) in toluene in the presence of Pd(PPh3)4 to furnish compound (VIII). Treatment of (VIII) with NaOH in refluxing MeOH gives indole (IX), which is converted into the final product by reduction with LiAlH4 in refluxing THF) and treatment with HCl for the formation of the corresponding hydrochloride salt. Alternatively, the target compound can be obtained as follows: treatment of (IV) with KH in ether and tert-butyllithium in pentane followed by reaction with N-methylpiperidinone (X) affords hydroxy derivative (XI), which is finally converted into the desired product.

Drug Information Express,Drug R&D,Chemical Database,Patent Search.
Copyright © 2006-2026 Drug Future. All rights reserved.Contact Us