【药物名称】Y-40079
化学结构式(Chemical Structure):
参考文献No.36501
标题:Novel heterocyclic amide cpds. and medicinal uses thereof
作者:Akahoshi, F.; Ashimori, A.; Yoshimura, T.; Eda, M.; Sakashita, H.; Nakajima, M.; Imada, T. (Welfide Corporation)
来源:EP 0940400; US 6080738; WO 9818794
合成路线图解说明:

3-Methoxybenzonitrile (I) was converted to the corresponding imidate (II) by treatment with ethanolic HCl. Condensation of (II) with aminoacetaldehyde diethyl acetal (III) gave amidine (IV), which was cyclized with diethyl ethoxymethylenemalonate (V) in refluxing ethanol to yield the pyrimidinone (VI). Hydrolysis of the ethyl ester function of (VI) by treatment with LiI in hot pyridine provided acid (VII). This was subjected to a Curtius rearrangement with diphenylphosphoryl azide, and the intermediate isocyanate was condensed with benzyl alcohol to produce the benzyl carbamate (VIII). Acid hydrolysis of the diethyl acetal group of (VIII), followed by oxidation of the resulting aldehyde with sodium chlorite, furnished the carboxylic acid (IX).

合成路线图解说明:

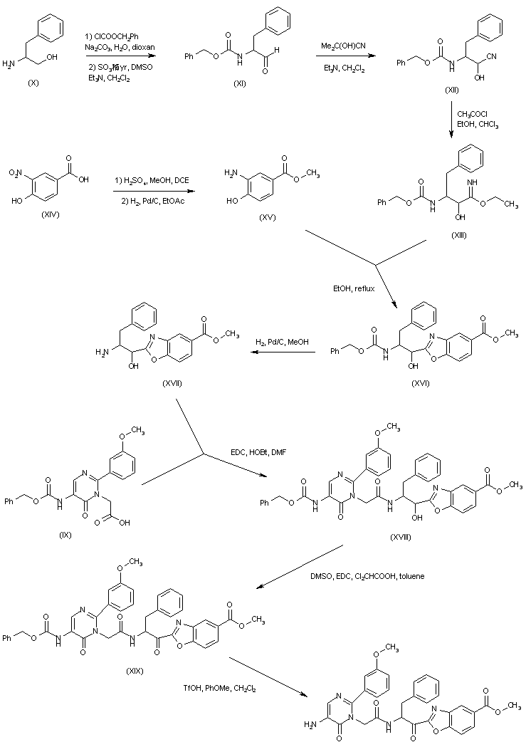
Protection of phenylalaninol (X) as the corresponding benzyl carbamate, followed by Swern oxidation of the alcohol function, furnished N-(benzyloxycarbonyl)phenylalaninal (XI). Aldehyde (XI) was then converted to cyanohydrin (XII) upon treatment with acetone cyanohydrin and Et3N. Reaction of (XII) with an in situ-generated ethanolic solution of HCl gave imidate (XIII). Methyl 4-hydroxy-3-aminobenzoate (XV) was prepared by esterification of 4-hydroxy-3-nitrobenzoic acid (XIV) followed by catalytic hydrogenation of the nitro group. Condensation of imidate (XIII) with the aminophenol (XV) in refluxing EtOH gave rise to the benzoxazole derivative (XVI). After hydrogenolytic cleavage of the carbobenzoxy group of (XVI), the resulting amine (XVII) was coupled with the intermediate pyrimidineacetic acid (IX) in the presence of EDC and HOBt, yielding amide (XVIII). The secondary alcohol of (XVIII) was then oxidized to the corresponding ketone (XIX) using a modified Pfitzner-Moffatt reaction. The carbobenzoxy protecting group of (XIX) was finally removed by treatment with trifluoromethanesulfonic acid in the presence of anisole.

参考文献No.616049
标题:Synthesis, structure-activity relationships, and pharmacokinetic profiles of nonpeptidic alpha-keto heterocycles as novel inhibitors of human chymase
作者:Akahoshi, F.; Ashimori, A.; Sakashita, H.; Yoshimura, T.; Imada, T.; Nakajima, M.; Mitsutomi, N.; Kuwahara, S.; Ohtsuka, T.; Fukaya, C.; Miyazaki, M.; Nakamura, N.
来源:J Med Chem 2001,44(8),1286
合成路线图解说明:

Protection of phenylalaninol (X) as the corresponding benzyl carbamate, followed by Swern oxidation of the alcohol function, furnished N-(benzyloxycarbonyl)phenylalaninal (XI). Aldehyde (XI) was then converted to cyanohydrin (XII) upon treatment with acetone cyanohydrin and Et3N. Reaction of (XII) with an in situ-generated ethanolic solution of HCl gave imidate (XIII). Methyl 4-hydroxy-3-aminobenzoate (XV) was prepared by esterification of 4-hydroxy-3-nitrobenzoic acid (XIV) followed by catalytic hydrogenation of the nitro group. Condensation of imidate (XIII) with the aminophenol (XV) in refluxing EtOH gave rise to the benzoxazole derivative (XVI). After hydrogenolytic cleavage of the carbobenzoxy group of (XVI), the resulting amine (XVII) was coupled with the intermediate pyrimidineacetic acid (IX) in the presence of EDC and HOBt, yielding amide (XVIII). The secondary alcohol of (XVIII) was then oxidized to the corresponding ketone (XIX) using a modified Pfitzner-Moffatt reaction. The carbobenzoxy protecting group of (XIX) was finally removed by treatment with trifluoromethanesulfonic acid in the presence of anisole.

Drug Information Express,Drug R&D,Chemical Database,Patent Search.
Copyright © 2006-2026 Drug Future. All rights reserved.Contact Us