【药物名称】Amelubant, BIIL-284
化学结构式(Chemical Structure):
参考文献No.29170
标题:Substd. benzamidines, their production and their use as medicaments
作者:Anderskewitz, R.; Schromm, K.; Renth, E.-O.; Birke, F.; F黦ner, A.; Heuer, H.; Meade, C. (Boehringer Ingelheim GmbH)
来源:DE 4424713; EP 0770059; JP 1998502645; US 5731332; WO 9602497
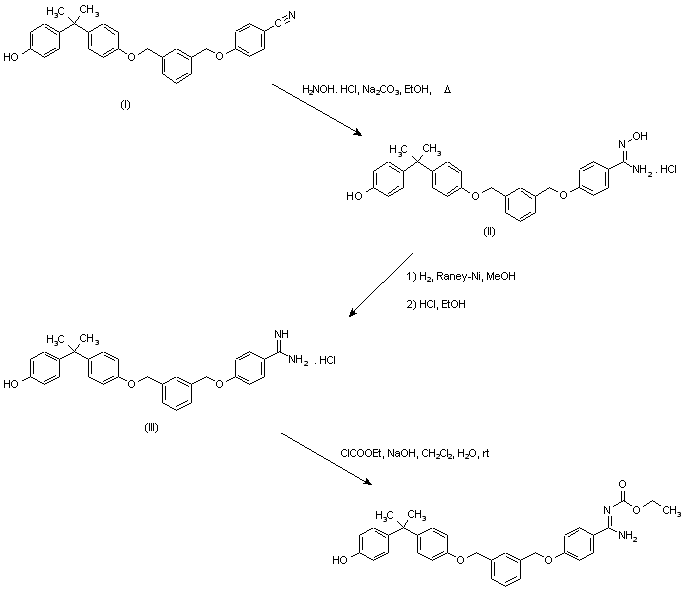
合成路线图解说明:

Nitrile (I) was converted to hydroxamic acid (II) upon treatment with hydroxylamine. Further hydrogenation in the presence of Raney-nickel provided amidine (III), which was finally condensed with ethyl chloroformate to yield the title compound.

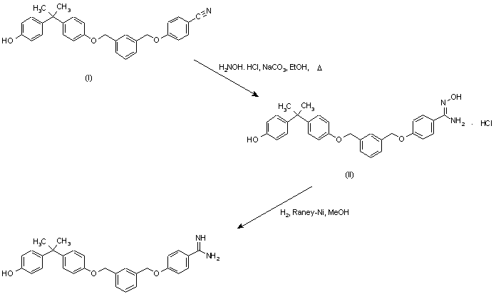
合成路线图解说明:

Nitrile (I) was converted to hydroxamic acid (II) upon treatment with hydroxylamine. Further hydrogenation in the presence of Raney-nickel provided the target amidine.

Drug Information Express,Drug R&D,Chemical Database,Patent Search.
Copyright © 2006-2026 Drug Future. All rights reserved.Contact Us