【药物名称】S-18327
化学结构式(Chemical Structure):
参考文献No.42079
标题:3-(Piperid-4-yl)-1,2-benzisoxazole and 3-(piperazin-4-yl)-1,2-benzisoxazole cpds.
作者:Audinot, V.; Millan, M.; Brocco, M.; Peglion, J.-L. (ADIR et Cie.)
来源:EP 0811622; FR 2749304; US 5780474
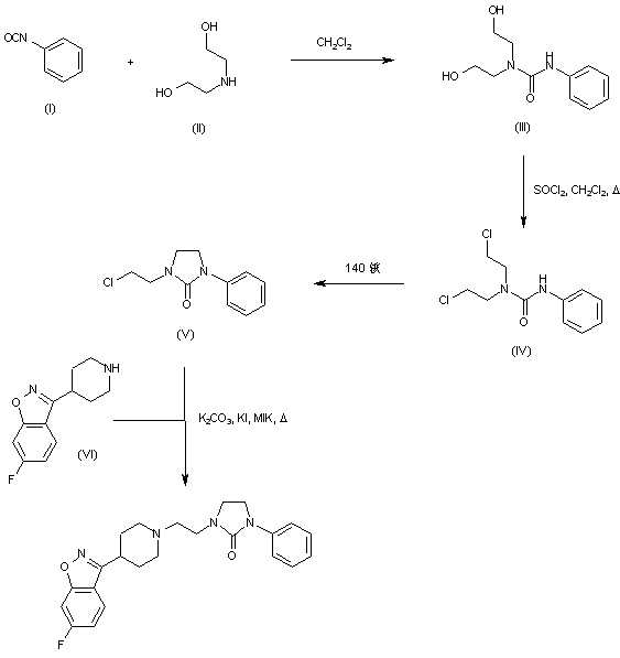
合成路线图解说明:

Condensation of phenyl isocyanate (I) with diethanolamine (II) produced 1,1-bis(2-hydroxyethyl)-3-phenylurea (III), which was converted into the bis(chloroethyl) derivative (IV) upon treatment with SOCl2. Cyclization of this compound at 140 C furnished imidazolinone (V). Finally, condensation of (V) with benzisoxazolylpiperidine (VI) in the presence of K2CO3 and KI in refluxing methyl isobuyl ketone yielded the title compound.

Drug Information Express,Drug R&D,Chemical Database,Patent Search.
Copyright © 2006-2026 Drug Future. All rights reserved.Contact Us