【药物名称】
化学结构式(Chemical Structure):
参考文献No.478076
标题:Synthesis and biological activity of a novel methylamine-bridged enkephalin analogue (MABE): A new route to cyclic peptides and peptidomimetics
作者:Shreder, K.; Zhang, L.; Dang, T.; Yaksh, T.L.; Umeno, H.; DeHaven, R.; Daubert, J.; Goodman, M.
来源:J Med Chem 1998,41(14),2631
合成路线图解说明:

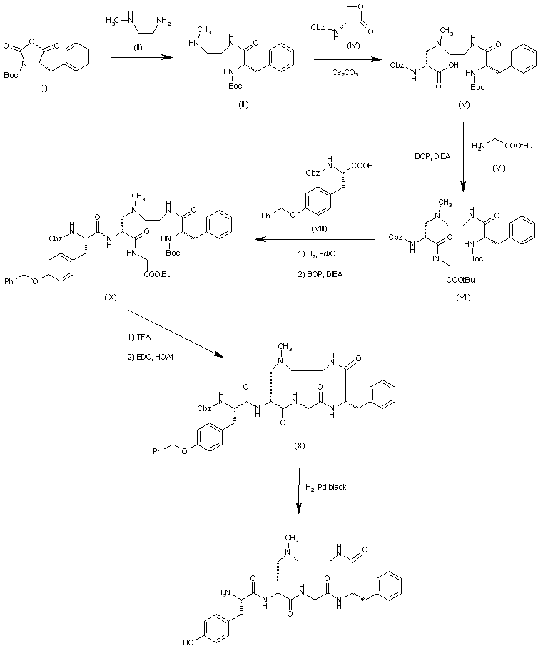
The reaction of N-(tert-butoxycarbonyl)-L-phenylalanine-N-carboxyanhydride (I) with N-methylethylenediamine (II) gives the phenyalaninamide (III), which is condensed with the N-protected chiral azetidinone (IV) by means of Cs2CO3 to yield the diaminopropionic acid derivative (V). The condensation of (V) with glycine tert-butyl ester (VI) by means of BOP and DIEA affords the peptide (VII), which, after deprotection with H2 over Pd/C, is condensed with 4-O-benzyl-L-tyrosine (VIII) by means of BOP and DIEA giving the acyclic precursor (IX). The deprotection of (IX) with TFA, followed by cyclization by means of EDC, HOAt, DIEA and DCM in DMF provides the protected cyclic precursor (X), which is finally deprotected by hydrogenation with H2 over Pd black in ethanol.

Drug Information Express,Drug R&D,Chemical Database,Patent Search.
Copyright © 2006-2026 Drug Future. All rights reserved.Contact Us