【药物名称】
化学结构式(Chemical Structure):
参考文献No.473883
标题:Synthesis and evaluation of peptidyl Michael acceptors that inactivate human rhinovirus 3C protease and inhibit virus replication
作者:Kong, J.; Venkatraman, S.; Furness, K.; Nimkar, S.; Shepherd, T.A.; Wang, Q.M.; Aub? J.; Hanzlik, R.P.
来源:J Med Chem 1998,41(14),2579
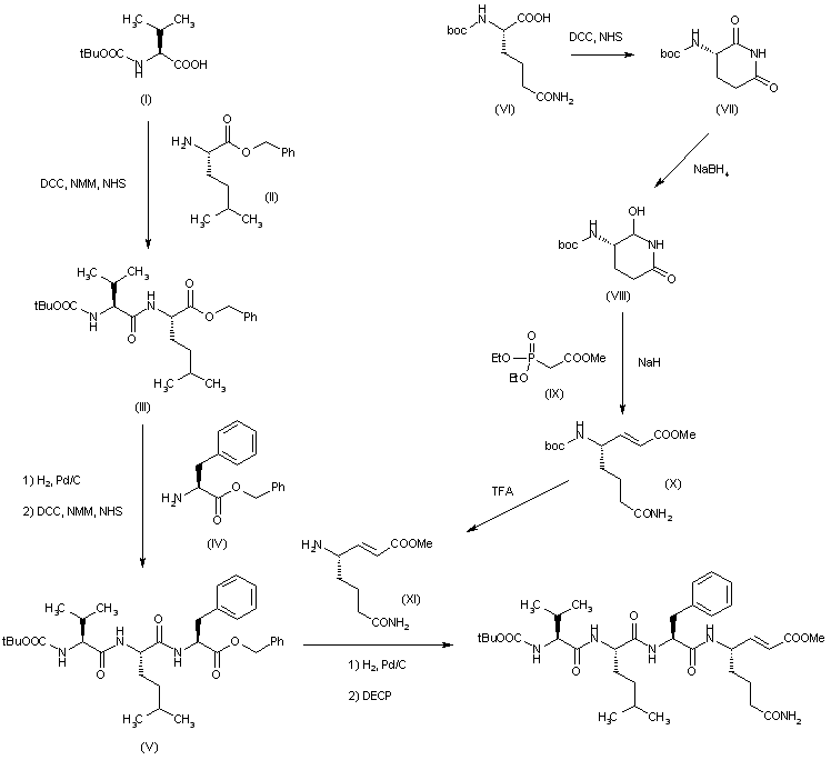
合成路线图解说明:

By deprotection of tripeptide (V) (hydrogenolysis of the benzyl group with H2 over Pd/C) followed by condensation with amino acid ester (XI) by means of diethyl cyanophosphonate (DECP) in DMF. The intermediates (V) and (XI) have been obtained as follows: 1.- The condensation of N-(tert-butoxycarbonyl)-L-valine (I) with L-leucine benzyl ester (II) by means of DCC, NMM and NHS gives the dipeptide (III), which is condensed with L-phenylalanine benzyl ester (IV) by first debenzylation and condensation as before yielding the desired tripeptide (V). 2.- The cyclization of N-(tert-butoxycarbonyl)-L-glutamine (VI) by means of DCC and NHS gives the glutarimide (VII), which is partially reduced with NaBH4 to the cyclic Boc-glutaminal (VIII). The condensation of (VIII) with the phosphonate (IX) by means of NaH in THF affords the unsaturated protected aminoester (X), which is finally deprotected with trifluoroacetic acid in dichloromethane providing the desired amino acid ester (XI).

Drug Information Express,Drug R&D,Chemical Database,Patent Search.
Copyright © 2006-2026 Drug Future. All rights reserved.Contact Us