【药物名称】LY-334370
化学结构式(Chemical Structure):
参考文献No.31050
标题:5-Substd.-3-(1,2,3,6-tetrahydropyridin-4-yl)- and 3-(piperidin-4-yl)-1H-indoles: New 5-HT1F agonists
作者:Audia, J.E.; Dressman, B.A.; Droste, J.J.; Fritz, J.E.; Kaldor, S.W.; Koch, D.J.; Krushinski, J.H. Jr.; Nissen, J.S.; Rocco, V.P.; Schaus, J.M.; Thompson, D.C. (Eli Lilly and Company)
来源:EP 0733628; JP 1999502816; US 5708008; WO 9629075
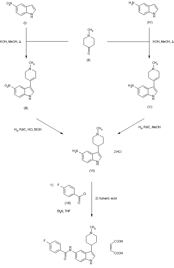
合成路线图解说明:

Condensation of 5-nitroindole (I) with 1-methyl-4-piperidone (II) in the presence of KOH produced tetrahydropyridinyl indole (III). Subsequent catalytic hydrogenation of (III) over Pd/C gave the 5-amino-3-piperidinylindole (VI). In a related procedure, 5-aminoindole (IV) was condensed with piperidone (II), and the resulting tetrahydropyridine (V) was hydrogenated to yield (VI). Aminoindole (VI) was finally condensed with 4-fluorobenzoyl chloride (VII) to produce the corresponding amide, which was isolated as the fumarate salt.

参考文献No.35764
标题:Use of a serotonin 5-HT1F agonist in the manufacture of a medicament for treating or ameliorating the symptoms of common cold or allergic rhinitis
作者:Johnson, K.W.; Phebus, L.A. (Eli Lilly and Company)
来源:EP 0824917; US 5962473; WO 9806402
合成路线图解说明:

Condensation of 5-nitroindole (I) with 1-methyl-4-piperidone (II) in the presence of KOH produced tetrahydropyridinyl indole (III). Subsequent catalytic hydrogenation of (III) over Pd/C gave the 5-amino-3-piperidinylindole (VI). In a related procedure, 5-aminoindole (IV) was condensed with piperidone (II), and the resulting tetrahydropyridine (V) was hydrogenated to yield (VI). Aminoindole (VI) was finally condensed with 4-fluorobenzoyl chloride (VII) to produce the corresponding amide, which was isolated as the fumarate salt.

合成路线图解说明:

Acylation of 4-nitroaniline (I) with 4-fluorobenzoyl chloride (II) affords benzanilide (III). Catalytic hydrogenation of the nitro group of (III) employing Pt/C then gives amine (IV). Diazotization of (IV), followed by reduction with SnCl2 leads to hydrazine (V). Reaction of 5-chloro-2-pentanone (VI) with dimethylamine yields the amino ketone (VII). Finally, the title compound is obtained by Fisher indole synthesis from aryl hydrazine (V) and ketone (VII) under acidic conditions.

参考文献No.36154
标题:A method for the prevention of migraine
作者:Johnson, K.W.; Phebus, L.A. (Eli Lilly and Company)
来源:WO 9811895
合成路线图解说明:

Condensation of 5-nitroindole (I) with 1-methyl-4-piperidone (II) in the presence of KOH produced tetrahydropyridinyl indole (III). Subsequent catalytic hydrogenation of (III) over Pd/C gave the 5-amino-3-piperidinylindole (VI). In a related procedure, 5-aminoindole (IV) was condensed with piperidone (II), and the resulting tetrahydropyridine (V) was hydrogenated to yield (VI). Aminoindole (VI) was finally condensed with 4-fluorobenzoyl chloride (VII) to produce the corresponding amide, which was isolated as the fumarate salt.

Drug Information Express,Drug R&D,Chemical Database,Patent Search.
Copyright © 2006-2026 Drug Future. All rights reserved.Contact Us