【药物名称】
化学结构式(Chemical Structure):
参考文献No.37423
标题:Optically active 1-phenylpyrrolidine derivative, intermediate for producing the same, and process for producing both
作者:Yano, S.; Ogawa, K.; Shirasaka, T.; Ohno, T. (Taiho Pharmaceutical Co., Ltd.)
来源:WO 9406767
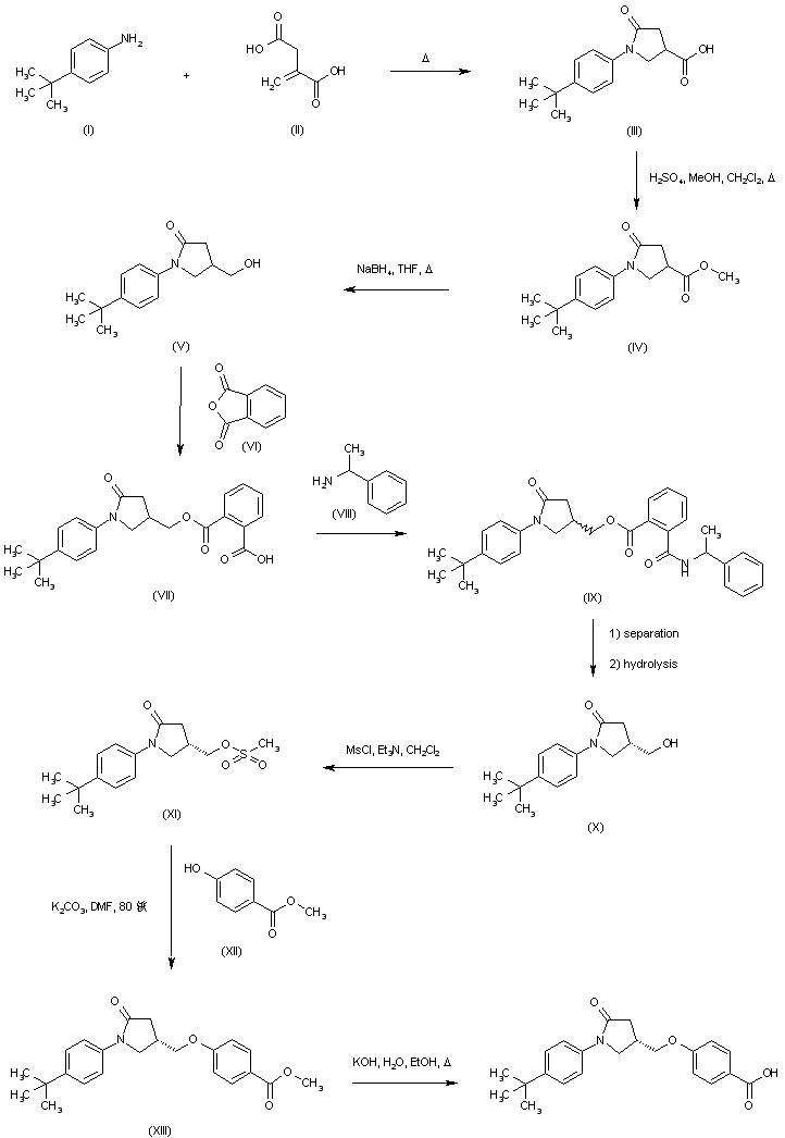
合成路线图解说明:

Michael addition of itaconic acid (II) to 4-tert-butylaniline (I), and further lactamization afforded pyrrolidone carboxylic acid (III). This was esterified with H2SO4 in MeOH, and the resulting methyl ester (IV) was reduced to alcohol (V) with NaBH4 in boiling tetrahydrofuran. Optical resolution of (V) was achieved by condensation with phthalic anhydride (VI) to give amide (VII), followed by coupling of the remaining carboxylic acid group of (VII) with chiral alpha-methylbenzyl amine (VIII) yielding (IX). After separation of the diastereomeric mixture (IX), hydrolysis of the phthalate ester furnished the required (S)-alcohol (X) (2). Mesylate (XI), prepared from alcohol (X) and MsCl in the presence of Et3N, was condensed with methyl 4-hydroxybenzoate (XII) to afford ether (XIII). Then, basic hydrolysis of the methyl ester of (XIII) provided the title compound.

参考文献No.275738
标题:Synthesis of 4-[1-(substituted phenyl)-2-oxo-pyrrolidin-4-yl]methyloxybenzoic acids and related compounds, and their inhibitory capacities toward fatty-acid and sterol biosyntheses
作者:Watanabe, S.; et al.
来源:Eur J Med Chem 1994,29675
合成路线图解说明:

Michael addition of itaconic acid (II) to 4-tert-butylaniline (I), and further lactamization afforded pyrrolidone carboxylic acid (III). This was esterified with H2SO4 in MeOH, and the resulting methyl ester (IV) was reduced to alcohol (V) with NaBH4 in boiling tetrahydrofuran. Optical resolution of (V) was achieved by condensation with phthalic anhydride (VI) to give amide (VII), followed by coupling of the remaining carboxylic acid group of (VII) with chiral alpha-methylbenzyl amine (VIII) yielding (IX). After separation of the diastereomeric mixture (IX), hydrolysis of the phthalate ester furnished the required (S)-alcohol (X) (2). Mesylate (XI), prepared from alcohol (X) and MsCl in the presence of Et3N, was condensed with methyl 4-hydroxybenzoate (XII) to afford ether (XIII). Then, basic hydrolysis of the methyl ester of (XIII) provided the title compound.

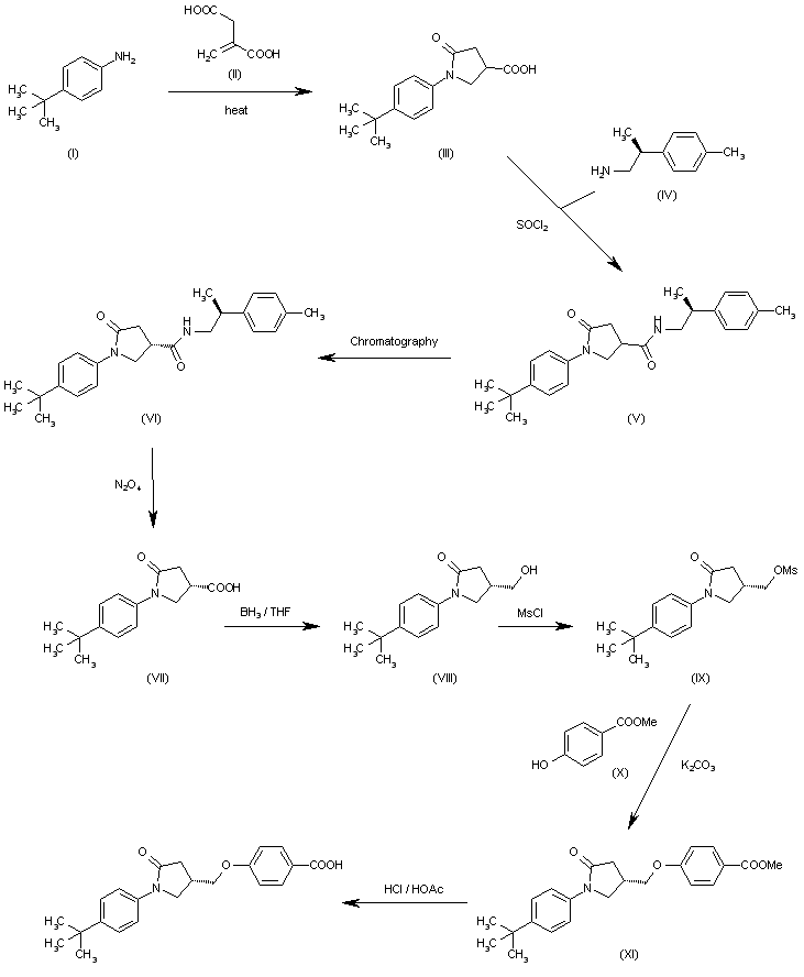
合成路线图解说明:

The Michael addition of 4-tert-butylaniline (I) with 2-methylenesuccinic acid (II) followed by cyclization gives racemic 1-(4-tert-butylphenyl)-5-oxopyrrolidine-3-carboxylic acid (III) (1), which is treated with SOCl2 and condensed with (S)(-)-1-(4-methylphenyl)ethylamine (IV) to yield a diastereomeric mixture of amides (V). The resolution of (V) by silicagel chromatography affords the (S,S)-diastereomer (VI), which is treated with N2O4 and NaOAc in CCl4 to provide 1-(4-tert-butylphenyl)-5-oxopyrrolidine-3(S)-carboxylic acid (VII). The reduction of (VII) with BH3/THF in dichloromethane gives the corresponding carbinol (VIII), which is treated with MsCl and TEA in dichloromethane to yield the mesylate (IX). The condensation of (IX) with 4-hydroxybenzoic acid methyl ester (X) by means of K2CO3 in DMF affords the corresponding phenyl ether (XI), which is finally hydrolyzed with HCl/AcOH to furnish the target compound.

参考文献No.561134
标题:Synthesis of the optical isomers of 4-[1-(4-tert-butylphenyl)-2-oxo-pyrrolidine-4-yl]methyloxybenzoic acid (S-2) and their biological evaluation as antilipidemic agent
作者:Ohno, T.; Yano, S.; Yamada, H.; Shirasaka, T.; Yamamoto, A.; Kobayashi, K.; Ogawa, K.
来源:Chem Pharm Bull 1999,47(11),1549
合成路线图解说明:

The Michael addition of 4-tert-butylaniline (I) with 2-methylenesuccinic acid (II) followed by cyclization gives racemic 1-(4-tert-butylphenyl)-5-oxopyrrolidine-3-carboxylic acid (III) (1), which is treated with SOCl2 and condensed with (S)(-)-1-(4-methylphenyl)ethylamine (IV) to yield a diastereomeric mixture of amides (V). The resolution of (V) by silicagel chromatography affords the (S,S)-diastereomer (VI), which is treated with N2O4 and NaOAc in CCl4 to provide 1-(4-tert-butylphenyl)-5-oxopyrrolidine-3(S)-carboxylic acid (VII). The reduction of (VII) with BH3/THF in dichloromethane gives the corresponding carbinol (VIII), which is treated with MsCl and TEA in dichloromethane to yield the mesylate (IX). The condensation of (IX) with 4-hydroxybenzoic acid methyl ester (X) by means of K2CO3 in DMF affords the corresponding phenyl ether (XI), which is finally hydrolyzed with HCl/AcOH to furnish the target compound.

Drug Information Express,Drug R&D,Chemical Database,Patent Search.
Copyright © 2006-2026 Drug Future. All rights reserved.Contact Us