【药物名称】Tariquidar, XR-9576
化学结构式(Chemical Structure):
参考文献No.36418
标题:Anthranilic acid derivs. as multi drug resistance modulators
作者:Ryder, H.; Ashworth, P.A.; Roe, M.J.; Brumwell, J.E.; Hunjan, S.; Folkes, A.J.; Sanderson, J.T.; Williams, S.; Maximen, L.M. (Xenova Group plc)
来源:EP 0934276; GB 2334521; JP 2001502683; US 6218393; WO 9817648
合成路线图解说明:

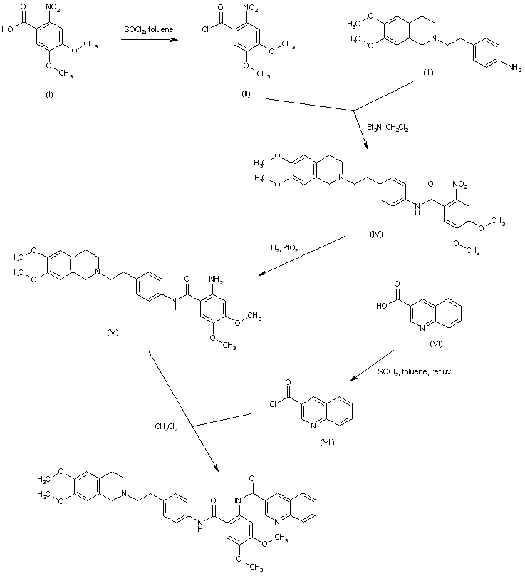
4,5-Dimethoxy-2-nitrobenzoic acid (I) was converted to the corresponding acid chloride (II) upon treatment with SOCl2, and this was further coupled to aniline (III), producing amide (IV). Catalytic hydrogenation of the nitro group of (IV) afforded amine (V). Acid chloride (VII) --obtained by chlorination of 3-quinolinecarboxylic acid (VI) with SOCl2-- was then condensed with amine (V) to furnish the title diamide.

参考文献No.523543
标题:Reversal of P-glycoprotein mediated multidrug resistance by novel anthranilamide derivatives
作者:Roe, M.; Folkes, A.; Ashworth, P.; Brumwell, J.; Chima, L.; Hunjan, S.; Pretswell, I.; Dangerfield, W.; Ryder, H.; Charlton, P.
来源:Bioorg Med Chem Lett 1999,9(4),595
合成路线图解说明:

4,5-Dimethoxy-2-nitrobenzoic acid (I) was converted to the corresponding acid chloride (II) upon treatment with SOCl2, and this was further coupled to aniline (III), producing amide (IV). Catalytic hydrogenation of the nitro group of (IV) afforded amine (V). Acid chloride (VII) --obtained by chlorination of 3-quinolinecarboxylic acid (VI) with SOCl2-- was then condensed with amine (V) to furnish the title diamide.

Drug Information Express,Drug R&D,Chemical Database,Patent Search.
Copyright © 2006-2026 Drug Future. All rights reserved.Contact Us