【药物名称】
化学结构式(Chemical Structure):
参考文献No.467331
标题:Synthesis and biological activity of new 6- and 7-substituted 2beta-butyl-3-phenyltropanes as ligands for the dopamine transporter
作者:Prakash, K.R.C.; et al.
来源:Med Chem Res 1998,8(1-2),43
合成路线图解说明:

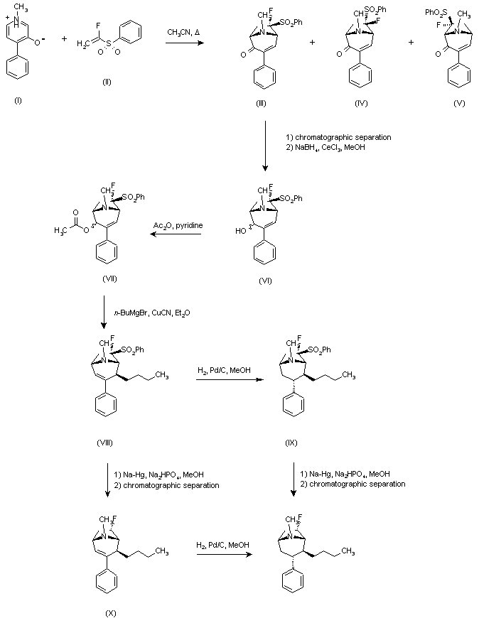
Cycloaddition of betaine (I) with phenyl fluorovinyl sulfone (II) in refluxing acetonitrile produced a mixture of 6-b (III), 6-a (IV), and 7-b (V) sulfones, from which the major isomer (III) was separated by column chromatography. Subsequent reduction with NaBH4 in the presence of CeCl3 provided a mixture of epimeric allylic alcohols (VI), which were acetylated with Ac2O in pyridine to yield acetates (VII). Copper (I) cyanide-catalized coupling with n-BuMgBr in Et2O gave butyl compound (VIII). Hydrogenation of the olefinic double bond in the presence of Pd/C yielded the trans isomer (IX), and further desulfonylation with Na-Hg in MeOH afforded the target compound together with a minor amount of the 7-b-fluoro isomer, which was removed by purification by column chromatography. Alternatively, (VIII) was first desulfonylated to give the major beta-fluoro isomer (X) which, after separation, was hydrogenated to give the target compound.

Drug Information Express,Drug R&D,Chemical Database,Patent Search.
Copyright © 2006-2026 Drug Future. All rights reserved.Contact Us