【药物名称】
化学结构式(Chemical Structure):
参考文献No.473878
标题:Structural modification of an orally active thrombin inhibitor, LB30057: Replacement of the D-pocket-binding napththyl moiety
作者:Lee, K.; Hwang, S.Y.; Hong, S.S.; Hong, C.Y.; Lee, C.S.; Shin, Y.; Kim, S.; Yun, M.; Yoo, Y.J.; Kang, M.; Oh, Y.S.
来源:Bioorg Med Chem 1998,6(6),869
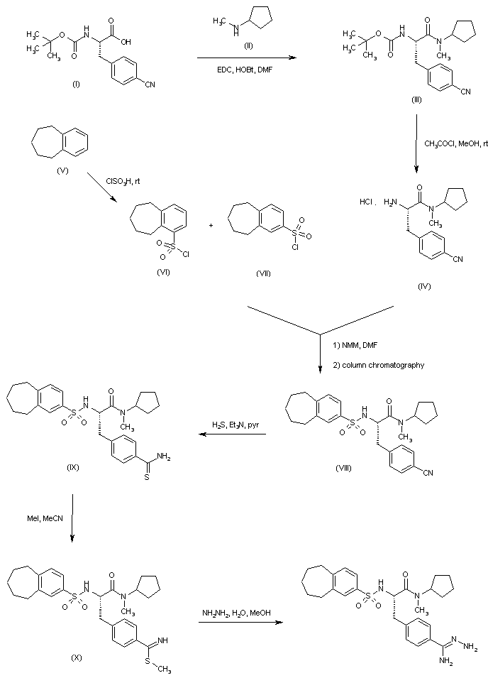
合成路线图解说明:

Coupling of N-Boc-(4-cyanophenyl)alanine (I) with N-methyl-N-cyclohexylamine (II) by means of EDC and HOBt gave amide (III). The Boc group of (III) was then removed using a methanolic solution of acetyl chloride to afford amine (IV). Chlorosulfonation of benzocycloheptene (V) afforded a mixture of isomeric sulfonyl chlorides (VI) and (VII). Condensation of this mixture with amine (IV) produced the corresponding sulfonamides, which were separated by column chromatography. The major isomer (VIII) was treated with SH2 and Et3N in pyridine to produce the thioamide (IX). Then, S-methylation of (IX) with MeI, followed by displacement of the methylthio group for hydrazine furnished the target benzamidrazone.

Drug Information Express,Drug R&D,Chemical Database,Patent Search.
Copyright © 2006-2026 Drug Future. All rights reserved.Contact Us