【药物名称】DA-3934
化学结构式(Chemical Structure):
参考文献No.30972
标题:Aminophenol derivs.
作者:Yokohama, S.; Kawagoe, K.; Takeda, Y.; Yokomizo, Y.; Yokomizo, A. (Daiichi Pharmaceutical Co., Ltd.)
来源:EP 0985660; US 5919824; WO 9628416
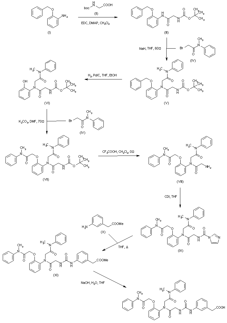
合成路线图解说明:

Coupling of 2-benzyloxyaniline (I) with N-Boc-glycine (II) by means of EDC aforded amide (III). Subsequent N-alkylation of (III) with N-methyl-N-phenyl-2-bromoacetamide (IV) in the presence of NaH provided diamide (V). Hydrogenolysis of the benzyl ether of (V) over Pd/C gave phenol derivative (VI) (1). Phenol (VI) was then alkylated with bromoamide (IV) to furnish ether (VII). After cleavage of the Boc group of (VII) with trifluoroacetic acid, the resulting amine (VIII) was reacted with carbonyldiimidazole to produce imidazolide (IX), which was subsequently coupled with aniline (X) yielding urea (XI). Finally, basic hydrolysis of the methyl ester group of (XI) gave the title carboxylic acid.

参考文献No.471959
标题:Synthesis of phenoxyacetic acid derivatives as highly potent antagonists of gastrin/cholecystokinin-B receptors. II
作者:Takeda, Y.; Kawagoe, K.; Yokomizo, A.; Yokomizo, Y.; Hosokami, T.; Shimoto, Y.; Tabuchi, Y.; Ogihara, Y.; Otsubo, R.; Honda, Y.; Yokohama, S.
来源:Chem Pharm Bull 1998,46(6),951
合成路线图解说明:

Coupling of 2-benzyloxyaniline (I) with N-Boc-glycine (II) by means of EDC aforded amide (III). Subsequent N-alkylation of (III) with N-methyl-N-phenyl-2-bromoacetamide (IV) in the presence of NaH provided diamide (V). Hydrogenolysis of the benzyl ether of (V) over Pd/C gave phenol derivative (VI) (1). Phenol (VI) was then alkylated with bromoamide (IV) to furnish ether (VII). After cleavage of the Boc group of (VII) with trifluoroacetic acid, the resulting amine (VIII) was reacted with carbonyldiimidazole to produce imidazolide (IX), which was subsequently coupled with aniline (X) yielding urea (XI). Finally, basic hydrolysis of the methyl ester group of (XI) gave the title carboxylic acid.

Drug Information Express,Drug R&D,Chemical Database,Patent Search.
Copyright © 2006-2026 Drug Future. All rights reserved.Contact Us