【药物名称】
化学结构式(Chemical Structure):
参考文献No.467327
标题:Anxiolytic activity of analogues of 4-benzylamino-2-methyl-7H-pyrrolo[2,3-d]pyrimidines
作者:Meade, E.A.; et al.
来源:Eur J Med Chem 1998,33(5),363
合成路线图解说明:

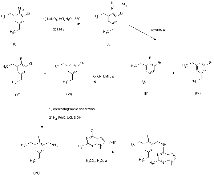
Aniline (I) was diazotized, and then precipitated as the hexafluorophosphate salt (II). Refluxing in p-xylene afforded an inseparable mixture of fluorinated (III) and nonfluorinated (IV) products. This mixture was treated with CuCN to furnish a mixture of nitriles, from which the major fluorinated nitrile (V) was separated by silica gel chromatography. Subsequent reduction of nitrile (V) by catalytic hydrogenation in the presence of Pd/C provided benzylamine (VII). Finally, displacement of the 4-chloro group of pyrrolopyrimidine (VIII) with (VII) in the presence of K2CO3 in boiling water yielded the target compound.

Drug Information Express,Drug R&D,Chemical Database,Patent Search.
Copyright © 2006-2026 Drug Future. All rights reserved.Contact Us