【药物名称】NSL-96184
化学结构式(Chemical Structure):
参考文献No.35369
标题:Fibrinogen receptor antagonists and medicinal preparations containing the same as the active ingredient
作者:Hayashi, Y.; Harada, T.; Tachiki, A.; Katada, J. (Nippon Steel Corp.)
来源:EP 0852225; JP 1998017550; WO 9749682
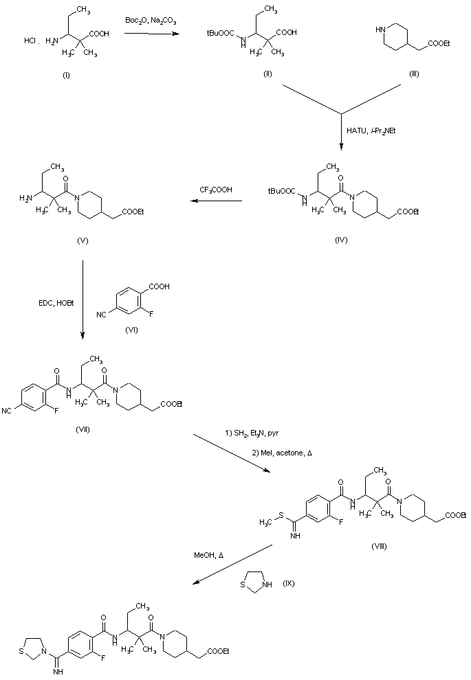
合成路线图解说明:

Protection of beta-alanine derivative (I) with di-tert-butyl dicarbonate afforded the tert-butyl carbamate (II). This was condensed with ethyl piperidine-4-acetate (III) using O-(7-azabenzotriazol-1-yl)-1,1,3,3-tetramethyuronium hexafluorophosphate (HATU) and diisopropyl ethylamine to give amide (IV). Subsequent Boc deprotection of (IV) with trifluoroacetic acid provided amine (V), which was coupled with 2-fluoro-4-cyanobenzoic acid (VI) in the presence of 1-ethyl-3-(3-dimethylaminopropyl)carbodiimide and 1-hydroxybenzotriazole yielding (VII). Treatment of the resulting cyanobenzamide (VII) with SH2 and Et3N produced the corresponding thioamide, which was S-alkylated with MeI to give (VIII). Finally, displacement of the methylthio group of (VIII) with thiazolidine (IX) furnished the corresponding amidine.

参考文献No.480058
标题:GPIIb/IIIa integrin antagonists with the new conformational restriction unit, trisubstituted beta-amino acid derivatives, and substituted benzamidine structure
作者:Hayashi, Y.; Katada, J.; Harada, T.; Tachiki, A.; Iijima, K.; Takiguchi, Y.; Muramatsu, M.; Miyazaki, H.; Asari, T.; Okazaki, T.; Sato, Y.; Yasuda, E.; Yano, M.; Uno, I.; Ojima, I.
来源:J Med Chem 1998,41(12),2345
合成路线图解说明:

Protection of beta-alanine derivative (I) with di-tert-butyl dicarbonate afforded the tert-butyl carbamate (II). This was condensed with ethyl piperidine-4-acetate (III) using O-(7-azabenzotriazol-1-yl)-1,1,3,3-tetramethyuronium hexafluorophosphate (HATU) and diisopropyl ethylamine to give amide (IV). Subsequent Boc deprotection of (IV) with trifluoroacetic acid provided amine (V), which was coupled with 2-fluoro-4-cyanobenzoic acid (VI) in the presence of 1-ethyl-3-(3-dimethylaminopropyl)carbodiimide and 1-hydroxybenzotriazole yielding (VII). Treatment of the resulting cyanobenzamide (VII) with SH2 and Et3N produced the corresponding thioamide, which was S-alkylated with MeI to give (VIII). Finally, displacement of the methylthio group of (VIII) with thiazolidine (IX) furnished the corresponding amidine.

Drug Information Express,Drug R&D,Chemical Database,Patent Search.
Copyright © 2006-2026 Drug Future. All rights reserved.Contact Us