【药物名称】L-054264
化学结构式(Chemical Structure):
参考文献No.478520
标题:Spiro[1H-indene-1,4'-piperidine] derivatives as potent and selective non-peptide human somatostatin receptor subtype 2 (sst2) agonists
作者:Yang, L.; Guo, L..; Pasternak, A.; Mosley, R.; Rohrer, S.; Birzin, E.; Foor, F.; Cheng, K.; Schaeffer, J.; Patchett, A.A.
来源:J Med Chem 1998,41(13),2175
合成路线图解说明:

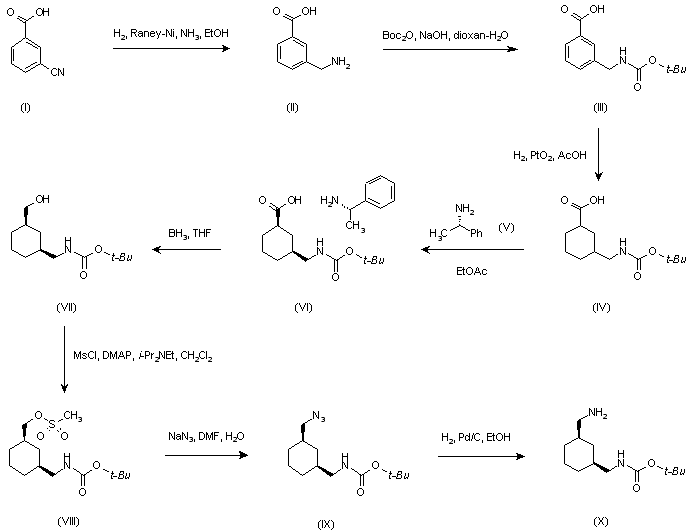
The chiral intermediate (X) was synthesized from 3-cyanobenzoic acid (I) through the following sequence. Hydrogenation of the cyano group over Raney-nickel provided 3-(aminomethyl)benzoic acid (II), which was protected as the tert-buyl carbamate (III) with Boc2O. Subsequent hydrogenation of the benzene ring of (III) over PtO2 yielded the racemic amino acid (IV), predominantly as the cis isomer. The chiral resolution of (IV) with (S)-a-methylbenzyl amine (V) in EtOAc provided the optically pure 1(R),3(S) compound (VI), which was then reduced with borane in THF. The resulting aminoalcohol (VII), after conversion to mesylate (VIII) with methanesulfonyl chloride, was treated with NaN3 to give azide (IX), and this was then reduced to amine (X) with H2 over Pd/C.

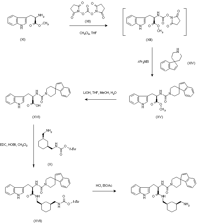
合成路线图解说明:

Treatment of D-tryptophan methyl ester (XI) with N,N'-disuccinimidyl carbonate (XII) gave the intermediate succinimidyl carbamate (XIII), which was subsequently converted to urea (XV) upon reaction with spiro(indene-1,4'-piperidine) (XIV). Saponification of the ester function of (XV) with LiOH afforded the carboxylic acid (XVI), and this was then coupled with the Boc-protected chiral diamine (X) using EDC and HOBt. The resulting precursor (XVII) was finally deprotected with HCl in EtOAc to provide the title compound.

Drug Information Express,Drug R&D,Chemical Database,Patent Search.
Copyright © 2006-2026 Drug Future. All rights reserved.Contact Us