【药物名称】SK-951
化学结构式(Chemical Structure):
参考文献No.26451
标题:Benzo[b]furancarboxamide derivs., process for their preparation and their use as gastrointestinal mobility-enhancing agents
作者:Baba, Y.; Usui, T.; Iwata, N. (Sanwa Kagaku Kenkyusho Co., Ltd.)
来源:EP 0640602; JP 1995112985; US 5442077
合成路线图解说明:

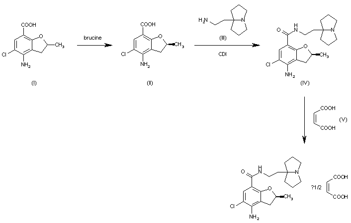
The optical resolution of 4-amino-5-chloro-2-methyl-2,3-dihydrobenzofuran-7-carboxylic acid (I) by means of brucine in methanol gives the (+)-isomer (II), which is then condensed with the ethylamino derivative (III) by means of carbonyldiimidazole in THF to afford the amide (IV). Finally, this compound is salified with fumaric acid (V) in ethanol.

参考文献No.474325
标题:Serotonin 5-HT4 receptor agonistic activity of the optical isomers of (?-4-amino-N-[2-(1-azabicyclo[3.3.0]octan-5-yl)ethyl]-5-chloro-2,3-dihydro-2-methylbenzo[b]furan-7-carboxamide
作者:Kakigami, T.; Usui, T..; Ikami, T.; Tsukamoto, K.; Miwa, Y.; Taga, T.; Kataoka, T.
来源:Chem Pharm Bull 1998,46(6),1039
合成路线图解说明:

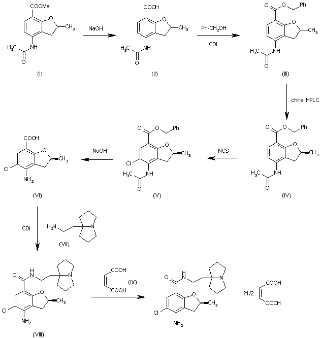
The hydrolysis of 4-acetamido-2-methyl-2,3-dihydrobenzofuran-7-carboxylic acid methyl ester (I) with NaOH gives the corresponding free acid (II), which is esterified with benzyl alcohol and carbonyldiimidazole (CDI) to the benzyl ester (III). Optical resolution of (III) by chiral HPLC yielded the 2(S)-isomer (IV), which is chlorinated with N-chlorosuccinomide (NCl) affords the 5-chloro derivative (V). The treatment of (V) with NaOH provides 4-amino-5-chloro-2(S)-methyl-2,3-dihydrobenzofuran-7-carboxylic acid (VI), which is condensed with the ethylamino derivative (VII) by means of CDI to give the amide (VIII). Finally, this compound is salified with fumaric acid (IX).

Drug Information Express,Drug R&D,Chemical Database,Patent Search.
Copyright © 2006-2026 Drug Future. All rights reserved.Contact Us