【药物名称】
化学结构式(Chemical Structure):
参考文献No.474200
标题:Search for alpha1-adrenoceptor subtypes selective antagonists: Design, synthesis and biological activity of cystazosin, an alpha1D-adrenoceptor antagonist
作者:Minarini, A.; Budriesi, R.; Chiarini, A.; Leonardi, A.; Melchiorre, C.
来源:Bioorg Med Chem Lett 1998,8(11),1353
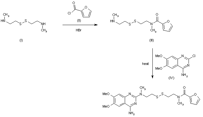
合成路线图解说明:

The monoacylation of disulfide (I) with 2-furylcarbonyl chloride (II) by means of 48% HBr in ethanol/water at 80 C gives the monoamide (III), which is then condensed with 2-chloro-6,7-dimethoxyquinazoline-4-amine (IV) in refluxing isoamyl alcohol.

合成路线图解说明:

Cystamine (I) was acylated with 2-furoyl chloride (II) in the presence of a catalytic amount of HBr to give amide (III). This was then condensed with chloroquinazoline (IV) in refluxing isoamyl alcohol to yield the title compound.

Drug Information Express,Drug R&D,Chemical Database,Patent Search.
Copyright © 2006-2026 Drug Future. All rights reserved.Contact Us