【药物名称】
化学结构式(Chemical Structure):
参考文献No.20705
标题:Cyclic ureas and analogues useful as retroviral protease inhibitors
作者:Lam, P.Y.; Eyermann, C.J.; Hodge, C.N.; Jadhav, P.K.; DeLucca, G.V. (DuPont Pharmaceuticals Co.)
来源:EP 0607334; EP 0686151; EP 0765873; JP 1995500324; JP 1996509700; US 5610294; WO 9307128; WO 9419329
合成路线图解说明:

Swern oxidation of N-(benzyloxycarbonyl)-(R)-phenylalaninol (I) gave aldehyde (II), which was subjected to a vanadium-mediated pinacol coupling to yield diol (III). Protection of the hydroxyl groups of (III) by reaction with [2-(trimethylsilyl)-ethoxy]methyl chloride (SEMCl) (IV) and DIEA in DMF provided trimethylsilyl)ethoxymethyl ether (V), whose N-benzyloxycarbonyl groups were removed by hydrogenolysis over Pd/C to afford diamine (VI). Finally, cyclization of diamine (VI) with carbonyldiimidazole produced the cyclic urea (VII).

合成路线图解说明:

Alkylation of diazepinone (VII) with m-nitrobenzyl bromide (VIII) in the presence of NaH gave the bis-nitrobenzyl derivative (IX). The silylethoxymethyl protecting groups of (IX) were then removed by means of HCl in dioxan to afford diol (X). The nitro groups of (X) were finally reduced by catalytic hydrogenation to the target diamino compound, which was finally converted to the bis-methanesulfonate salt.

合成路线图解说明:

Diol (I) was protected as the bis(methoxymethyl) ether (III) by reaction with methoxymethyl bromide (II) in the presence of diisopropyl ethylamine in DMF, and then, the carbobenzoxy groups of (III) were removed by hydrogenolysis in the presence of Pd/C to afford diamine (IV). Subsequent treatment of (IV) with carbonyl diimidazole (CDI) and pyridine provided the cyclic urea (V). Alkylation of (V) with m-iodobenzyl bromide (VI) in the presence of NaH in DMF provided the bis(iodobenzyl) diazepinone (VII). The title compound was then obtained by Suzuki coupling of (VII) with the protected pyrazolylboronic acid (VIII) in the presence of Pd(PPh3)4 and K2CO3 to furnish the bis(pyrazolylbenzyl) derivative (IX), followed by deprotection of the (trimethylsilyl)ethoxymethyl groups upon treatment with HCl in dioxan-methanol.

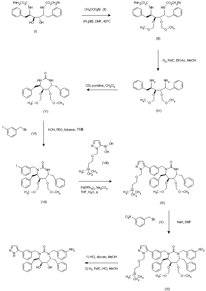
合成路线图解说明:

Diol (I) was protected as the bis(methoxymethyl) ether (III) by reaction with methoxymethyl bromide (II) in the presence of diisopropyl ethylamine in DMF, and then, the carbobenzoxy groups of (III) were removed by hydrogenolysis in the presence of Pd/C to afford diamine (IV). Subsequent treatment of (IV) with carbonyl diimidazole (CDI) and pyridine provided the cyclic urea (V). Monoalkylation of (V) with m-iodobenzyl bromide (VI) in the presence KOH and polyethylene glycol in toluene provided the (iodobenzyl)diazepinone (VII). Suzuki coupling of (VII) with the protected pyrazolylboronic acid (VIII) in the presence of Pd(PPh3)4 and K2CO3 afforded the (pyrazolylbenzyl) derivative (IX). Further alkylation of (IX) with m-nitrobenzyl bromide (X) and NaH gave (XI). After deprotection of the methoxymethyl and the (trimethylsilyl)ethoxymethyl groups of (XI) upon treatment with HCl in dioxan-methanol, the title compound was obtained by hydrogenation of the nitro group in the presence of Pd/C.

参考文献No.470613
标题:Cyclic HIV protease inhibitors: Design and synthesis of orally bioavailable, pyrazole P2/P2' cyclic ureas with improved potency
作者:Han, Q.; Chang, C.-H.; Li, R.; Ru, Y.; Jadhav, P.K.; Lam, P.Y.S.
来源:J Med Chem 1998,41(12),2019
合成路线图解说明:

Diol (I) was protected as the bis(methoxymethyl) ether (III) by reaction with methoxymethyl bromide (II) in the presence of diisopropyl ethylamine in DMF, and then, the carbobenzoxy groups of (III) were removed by hydrogenolysis in the presence of Pd/C to afford diamine (IV). Subsequent treatment of (IV) with carbonyl diimidazole (CDI) and pyridine provided the cyclic urea (V). Alkylation of (V) with m-iodobenzyl bromide (VI) in the presence of NaH in DMF provided the bis(iodobenzyl) diazepinone (VII). The title compound was then obtained by Suzuki coupling of (VII) with the protected pyrazolylboronic acid (VIII) in the presence of Pd(PPh3)4 and K2CO3 to furnish the bis(pyrazolylbenzyl) derivative (IX), followed by deprotection of the (trimethylsilyl)ethoxymethyl groups upon treatment with HCl in dioxan-methanol.

合成路线图解说明:

Diol (I) was protected as the bis(methoxymethyl) ether (III) by reaction with methoxymethyl bromide (II) in the presence of diisopropyl ethylamine in DMF, and then, the carbobenzoxy groups of (III) were removed by hydrogenolysis in the presence of Pd/C to afford diamine (IV). Subsequent treatment of (IV) with carbonyl diimidazole (CDI) and pyridine provided the cyclic urea (V). Monoalkylation of (V) with m-iodobenzyl bromide (VI) in the presence KOH and polyethylene glycol in toluene provided the (iodobenzyl)diazepinone (VII). Suzuki coupling of (VII) with the protected pyrazolylboronic acid (VIII) in the presence of Pd(PPh3)4 and K2CO3 afforded the (pyrazolylbenzyl) derivative (IX). Further alkylation of (IX) with m-nitrobenzyl bromide (X) and NaH gave (XI). After deprotection of the methoxymethyl and the (trimethylsilyl)ethoxymethyl groups of (XI) upon treatment with HCl in dioxan-methanol, the title compound was obtained by hydrogenation of the nitro group in the presence of Pd/C.

Drug Information Express,Drug R&D,Chemical Database,Patent Search.
Copyright © 2006-2026 Drug Future. All rights reserved.Contact Us