【药物名称】
化学结构式(Chemical Structure):
参考文献No.424088
标题:Discovery of CGS 27023A, a non-peptidic, potent, and orally active stromelysin inhibitor that blocks cartilage degradation in rabbits
作者:MacPherson, L.J.; Bayburt, E.K.; Capparelli, M.P.; Carroll, B.J.; Goldstein, R.; Justice, M.R.; Zhu, L.; Hu, S.; Melton, R.A.; Fryer, L.; Goldberg, R.L.; Doughty, J.R.; Spirito, S.; Blancuzzi, V.; Wilson, D.M.; O'Byrne, E.M.; Ganu, V.; Parker, D.T.
来源:J Med Chem 1997,40(16),2525
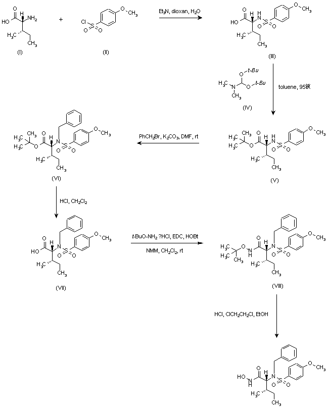
合成路线图解说明:

Condensation of D-isoleucine (I) with 4-methoxy-benzenesulfonyl chloride (II) in the presence of Et3N afforded sulfonyl derivative (III), which was subsequently converted to tert-butyl ester (V) upon treatment with dimethylformamide di-tert-butyl acetal (IV). Alkylation of (V) with benzyl bromide and K2CO3 in DMF provided the N-benzyl compound (VI). Then, the tert-butyl ester of (VI) was deprotected with HCl in CH2Cl2, and the resulting carboxylic acid (VII) was condensed with O-tert-butyl hydroxylamine using N-(3-dimethylaminopropyl)-N'-ethylcarbodiimide-HCl (EDC) and 1-hydroxybenzotriazole (HOBt) to give the tert-butyl hydroxamate (VIII). The target hydroxamic acid was then obtained by deprotection of (VIII) with HCl in dichloroethane containing one equivalent of EtOH.

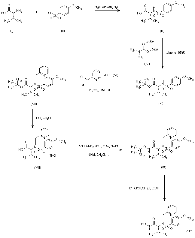
合成路线图解说明:

Condensation of D-valine (I) with 4-methoxybenzenesulfonyl chloride (II) in the presence of Et3N afforded sulfonyl derivative (III), which was subsequently converted to tert-butyl ester (V) upon treatment with dimethylformamide di-tert-butyl acetal (IV). Alkylation of (V) with 2-picolyl chloride-HCl (VI) and K2CO3 in DMF provided the N-(2-picolyl) compound (VII). Then, the tert-butyl ester of (VII) was deprotected with HCl in CH2Cl2, and the resulting carboxylic acid (VIII) was condensed with O-tert-butyl hydroxylamine using N-(3-dimethylaminopropyl)-N'-ethylcarbo-diimide-HCl (EDC) and 1-hydroxybenzotriazole (HOBt) to give the tert-butyl hydroxamate (IX). The target hydroxamic acid was then obtained by deprotection of (IX) with HCl in dichloroethane containing one equivalent of EtOH.

Drug Information Express,Drug R&D,Chemical Database,Patent Search.
Copyright © 2006-2026 Drug Future. All rights reserved.Contact Us