【药物名称】
化学结构式(Chemical Structure):
参考文献No.467376
标题:Antitumor agents. 185. Synthesis and biological evaluation of tridemethylthiocolchicine analogues as novel topoisomerase II inhibitors
作者:Guan, J.; Zhu, X.K.; Tachibana, Y.; Bastow, K.F.; Brossi, A.; Hamel, E.; Lee, K.H.
来源:J Med Chem 1998,41(11),1956
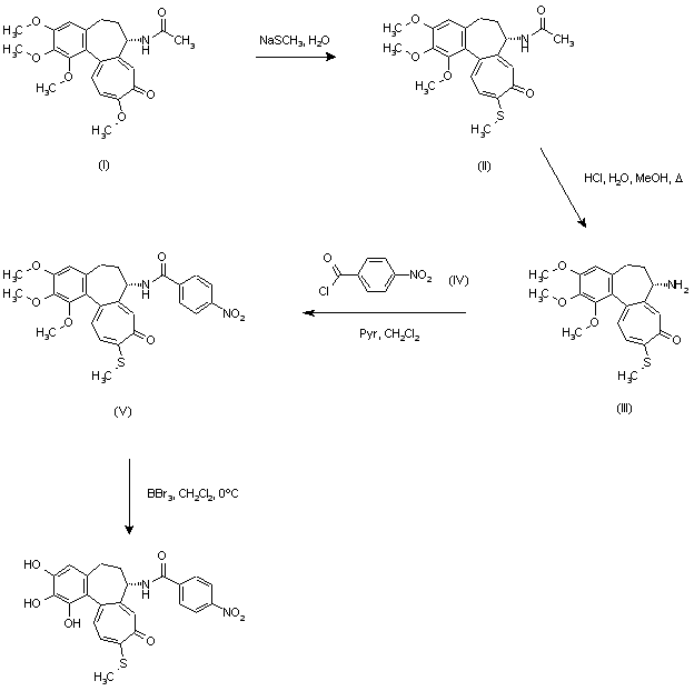
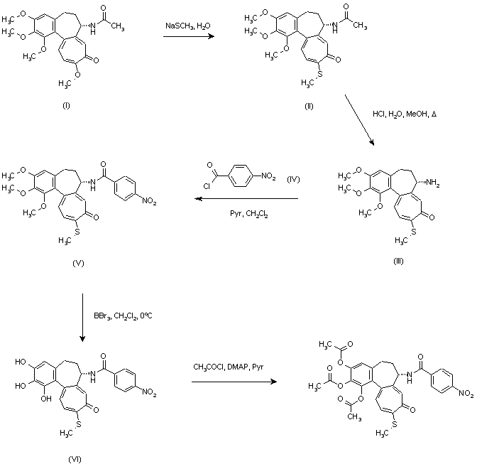
合成路线图解说明:

Thiocolchicine (II) was prepared from colchicine (I) by treatment with sodium methylthiolate. Then, hydrolysis of acetamide group with methanolic HCl afforded deacetyl thiocolchicine (III). Subsequent acylation with p-nitrobenzoyl chloride (IV) in the presence of pyridine provided amide (V), which was demethylated with excess BBr3 to give the corresponding triphenol (VI). Finally, esterification with acetyl chloride in the presence of pyridine and 4-(dimethylamino)pyridine furnished the target triacetate.

合成路线图解说明:

Thiocolchicine (II) was prepared from colchicine (I) by treatment with sodium methylthiolate. Then, hydrolysis of acetamide group with methanolic HCl afforded deacetyl thiocolchicine (III). Subsequent acylation with p-nitrobenzoyl chloride (IV) in the presence of pyridine provided amide (V), which was demethylated with excess BBr3 to give the corresponding triphenol.

Drug Information Express,Drug R&D,Chemical Database,Patent Search.
Copyright © 2006-2025 Drug Future. All rights reserved.Contact Us