【药物名称】NPI-1390, Syn-1390
化学结构式(Chemical Structure):
参考文献No.473833
标题:2-Spirocyclopropyl cephem sulfones: Human neutrophil elastase inhibitors Syn-1390 and Syn-1396
作者:Maiti, S.N.; Woods, D.E.; Cantin, A.M.
来源:Drugs Fut 1998,23(6),635
合成路线图解说明:

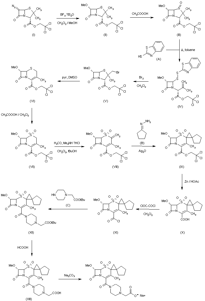
1) Treatment of 6-azopenicillanate (I) with boron trifluoroetherate in a mixture of methanol and methylene chloride gives 6alpha-methoxy penicillanate (II), which on oxidation with peracetic acid gives the corresponding 1beta-oxide (III). Ring opening of the oxide (III) by heating with 2-mercaptohenzothiazole in toluene gives the intermediate (IV), which on cyclization with bromine in methylene chloride gives 2beta-bromomethyl penicillanate (V). Rearrangement of (V) with pyridine in dimethyl sulfoxide gives the cephem intermediate (VI). The sulfone derivative (VII) is obtained by oxidizing (VI) with peracetic acid in methylene chloride. Introduction of the double bound at C-2 position of the sulfone (VII) is achieved by heating with dimethylamine hydrochloride in a mixture of tert-BuOH methylene chloride and formaldehyde. Reaction of the intermediate (VIII) with diazo cyclopentane, generated in situ by treatment of cyclopentyl hydrazono with silver (I) oxide, gives 2,2,2-tricholoroethyl-7alpha-methoxy-2-spiro-(2'-spirocyclopentyl)cyclopropyl-3-methyl-3-cephem-4-carboxylate-1,1-dioxide (IX). Removal of the trichloroethyl group by treatment with Zn/glacial acetic acid gives the corresponding acid (X). Reaction of the acid (X) with oxalyl chloride in methylene chloride gives the acid chloride (XI), which is condensed with 4-(1-butoxycarbonylmethyl)piperazine to afford the product (XII). Deprotection of the tert-butyl group with formic acid gives the free acid (XIII). Finally, this compound is converted into the sodium salt (XIV) of Syn-1390 by treatment with sodium carbonate in water.

合成路线图解说明:

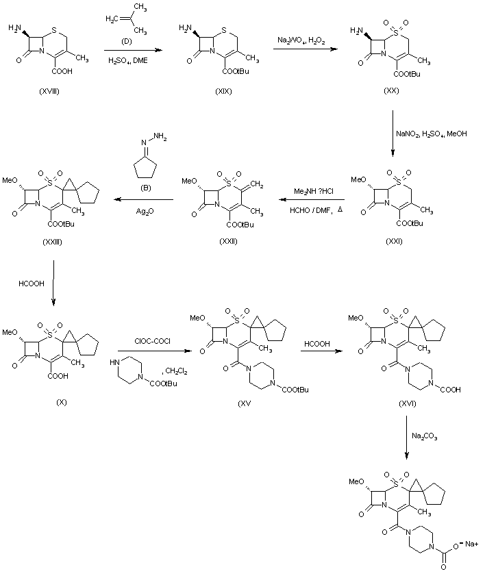
2) 7-ADCA (XVIII) is reacted with isobutylene and concentrated H2SO4 in DME to afford the corresponding tert-butyl ester (XIX), which on oxidation with Na2WO4 in presence of H2O2 gives the sulfone (XX). The sulfone (XX) on treatment with NaNO2 and 2.5 (N) H2SO4 in the presence of MeOH gives the 7alpha-methoxy cephem intermediate (XXI). Heating of compound (XXI) with dimethylamine hydrochloride and formaldehyde in a mixture of DMF and dioxane gives the 2-exomethylene cephem intermediate (XXII). Cycloaddition of (XXII) with diazo cyclopentane generated in situ by treatment of cyclopentyl hydrazone with silver (I) oxide, gives 7alpha-methoxy-2-spiro-(2'-spirocyclopentyl)cyclopropyl cephem derivative (XXIII). Deprotection of the tert-butyl ester group with formic acid gives the free acid (X). From the intermediate acid (X), the target molecule Syn-1390 and its corresponding sodium salt can be prepared, as described in Scheme 26506201a.

合成路线图解说明:

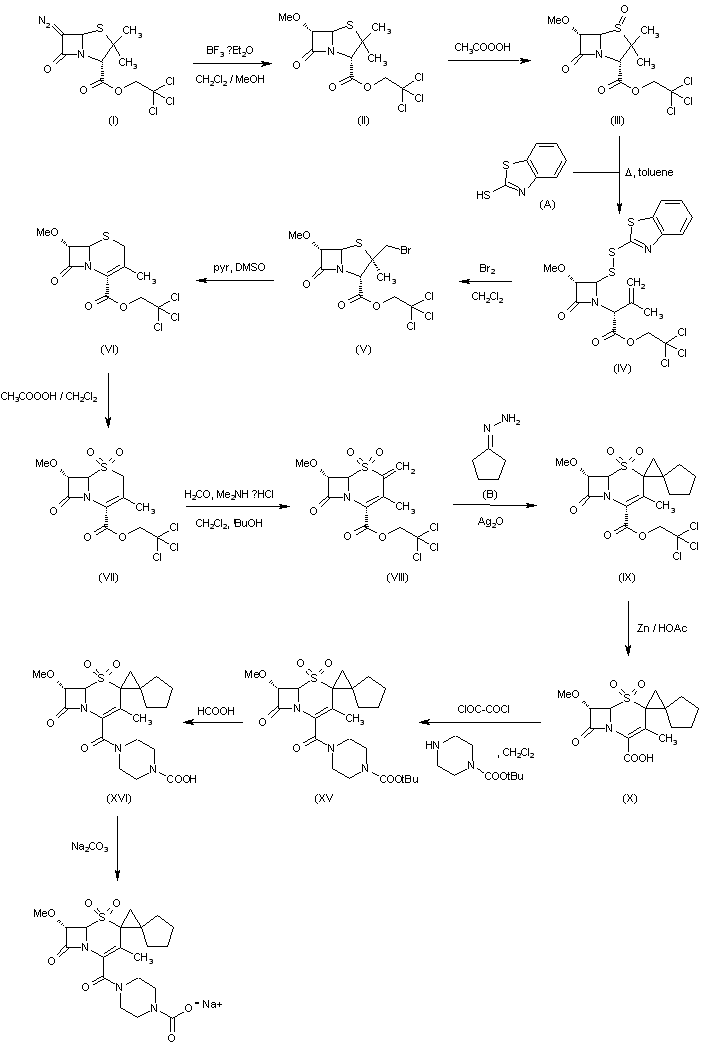
1) Treatment of 6-azopenicillanate (I) with boron trifluoroetherate in a mixture of methanol and methylene chloride gives 6alpha-methoxy penicillanate (II), which on oxidation with peracetic acid gives the corresponding 1beta-oxide (III). Ring opening of the oxide (III) by heating with 2-mercaptohenzothiazole in toluene gives the intermediate (IV), which on cyclization with bromine in methylene chloride gives 2beta-bromomethyl penicillanate (V). Rearrangement of (V) with pyridine in dimethyl sulfoxide gives the cephem intermediate (VI). The sulfone derivative (VII) is obtained by oxidizing (VI) with peracetic acid in methylene chloride. Introduction of the double bound at C-2 position of the sulfone (VII) is achieved by heating with dimethylamine hydrochloride in a mixture of tert-BuOH methylene chloride and formaldehyde. Reaction of the intermediate (VIII) with diazo cyclopentane, generated in situ by treatment of cyclopentyl hydrazono with silver (I) oxide, gives 2,2,2-tricholoroethyl-7alpha-methoxy-2-spiro-(2'-spirocyclopentyl)cyclopropyl-3-methyl-3-cephem-4-carboxylate-1,1-dioxide (IX). Removal of the trichloroethyl group by treatment with Zn/glacial acetic acid gives the corresponding acid (X). Reaction of the acid (X) with oxalyl chloride followed by treatment with 4-tert-butoxycarbonyl piperidine in methylene chloride gives the intermediate (XV). Hydrolysis of the tert-butyl ester with formic acid gives the free acid (XVI). Treatment with sodium carbonate in water gives the corresponding sodium salt of Syn-1396 (XVII).

合成路线图解说明:

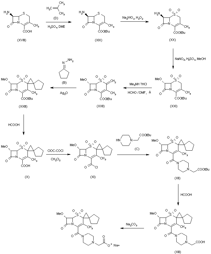
2) 7-ADCA (XVIII) is reacted with isobutylene and concentrated H2SO4 in DME to afford the corresponding tert-butyl ester (XIX), which on oxidation with Na2WO4 in presence of H2O2 gives the sulfone (XX). The sulfone (XX) on treatment with NaNO2 and 2.5 (N) H2SO4 in the presence of MeOH gives the 7alpha-methoxy cephem intermediate (XXI). Heating of compound (XXI) with dimethylamine hydrochloride and formaldehyde in a mixture of DMF and dioxane gives the 2-exomethylene cephem intermediate (XXII). Cycloaddition of (XXII) with diazo cyclopentane generated in situ by treatment of cyclopentyl hydrazone with silver (I) oxide, gives 7alpha-methoxy-2-spiro-(2'-spirocyclopentyl)cyclopropyl cephem derivative (XXIII). Deprotection of the tert-butyl ester group with formic acid gives the free acid (X). From the intermediate acid (X), the target molecule Syn-1396 and its corresponding sodium salt can be prepared, as described in Scheme 26506301a.

Drug Information Express,Drug R&D,Chemical Database,Patent Search.
Copyright © 2006-2026 Drug Future. All rights reserved.Contact Us