【药物名称】K-111, BM-17.0744
化学结构式(Chemical Structure):
参考文献No.476008
标题:omega-Substituted alkyl carboxylic acids as antidiabetic and lipid-lowering agents
作者:Meyer, K.; et al.
来源:Eur J Med Chem 1998,33(10),775
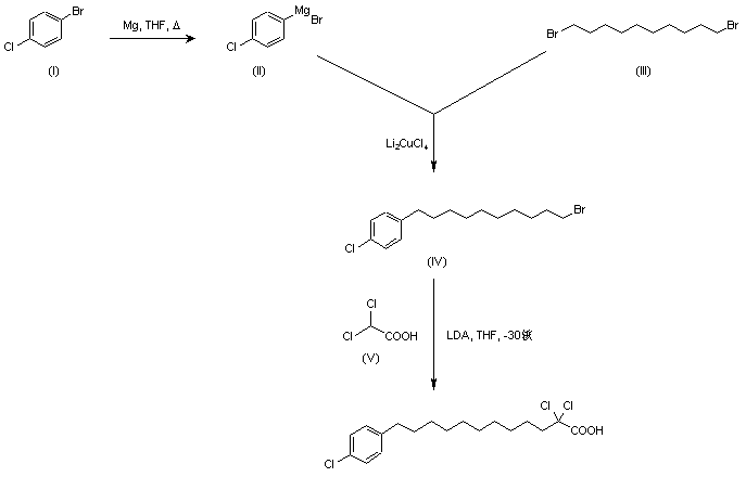
合成路线图解说明:

Grignard reagent (II), prepared from 4-chlorobromobenzene (I) and Mg in refluxing THF, was coupled with 1,10-dibromodecane (III) in the presence of Li2CuCl4 as the catalyst to afford the bromodecyl compound (IV). Then, the dianion of dichloroacetic acid (V), generated in the presence of two equivalents of LDA in cold THF, was alkylated with bromide (IV) to provide the title compound.

Drug Information Express,Drug R&D,Chemical Database,Patent Search.
Copyright © 2006-2026 Drug Future. All rights reserved.Contact Us