【药物名称】Ro-63-0563
化学结构式(Chemical Structure):
参考文献No.34454
标题:Fluoralkyl- and fluoralkoxy-substd. heterocyclic bradykinin antagonists
作者:Wagner, A.; Heitsch, H.; N鰈kne, G.; Wirth, K.; Bernard, P. (Aventis SA)
来源:EP 0796848; JP 1998007656; US 5859025
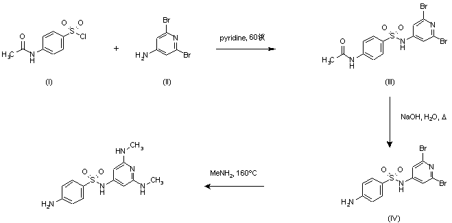
合成路线图解说明:

Condensation of 4-acetamidobenzenesulfonyl chloride (I) with 4-amino-2,6-dibromopyridine (II) in pyridine at 60 C afforded sulfonamide (III). The acetamido group was then hydrolyzed in refluxing 1 N NaOH to give (IV). Finally, substitution of both bromine atoms for methylamino groups was carried out by heating with liquid MeNH2 at 160 C in an autoclave.

Drug Information Express,Drug R&D,Chemical Database,Patent Search.
Copyright © 2006-2026 Drug Future. All rights reserved.Contact Us