【药物名称】
化学结构式(Chemical Structure):
参考文献No.574792
标题:Antitumor polycyclic acridines.7. Synthesis and biological properties of DNA affinic tetra- and pentacyclic acridines
作者:Stanslas, J.; Hagan, D.J.; Ellis, M.J.; Turner, C.; Carmichael, J.; Ward, W.; Hammonds, T.R.; Stevens, M.F.G.
来源:J Med Chem 2000,43(8),1563
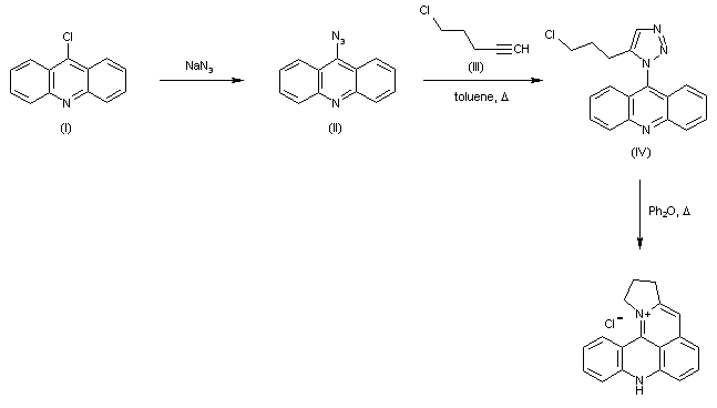
合成路线图解说明:

Treatment of 9-chloroacridine (I) with NaN3 in aqueous acetone affords azidoacridine (II), which is submitted to a cycloaddition reaction with 5-chloro-1-pentynyl (III) to yield 9-(triazol-1-yl)acridine (IV). Finally, (IV) is cyclized by thermolysis in hot diphenyl ether.

Drug Information Express,Drug R&D,Chemical Database,Patent Search.
Copyright © 2006-2026 Drug Future. All rights reserved.Contact Us